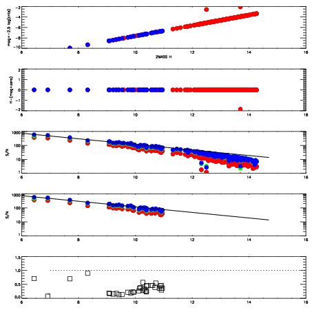
Left plots: red are targets, blue are telluric. Observed mags are calculated from median value of green chip. Zeropoint gives overall throughput: bigger number is more throughput.
First spatial plots: circles are objects, squares are tellurics, crosses are sky fibers. Colors give deviation of observed mag from expected 2MASS mag using the median zeropoint; red is brighter
Second spatial plots: circles are sky fibers. Colors give sky line brightness relative to plate median sky line brightness
FrameNreadsZeropointsMag plots Spatial mag deviation Spatial sky 16325A emission deviations (filled: sky, open: star) Spatial sky continuum emission Spatial sky telluric CO2 absorption deviations (filled: H < 10)
0 0
RedGreenBlue
z17.63
znorm Inf
sky -NaN -NaN -Inf
S/N 17.2 34.6 37.2
S/N(c) 22.1 23.6 0.3
SN(E/C) 0.34

IPAIRNAMESHIFTNEWSHIFTS/N NAMESHIFTNEWSHIFTS/N
0 07840059 0.477267 0.00000 18.5210 07840060 -6.82427e-05 0.477335 18.3975
1 07840058 0.476962 0.000304997 18.5244 07840057 -0.00100950 0.478276 18.4487
2 07840054 0.475767 0.00150001 18.4030 07840053 0.00000 0.477267 18.2624
3 07840055 0.476993 0.000274003 18.2591 07840056 -0.000760200 0.478027 18.2547