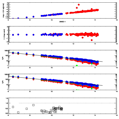
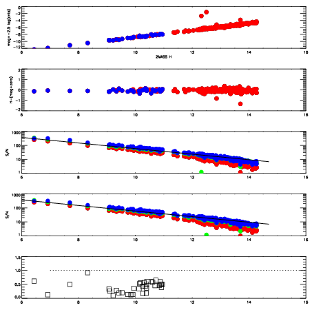
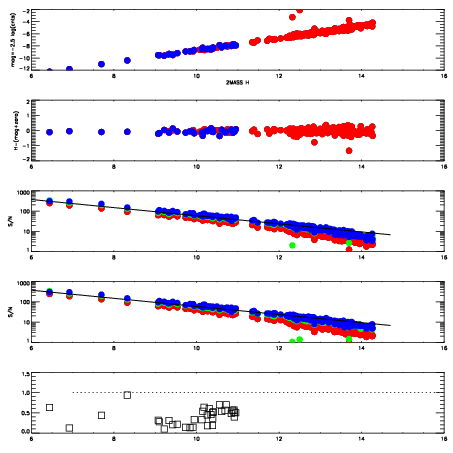
Frame | Nreads | Zeropoints | Mag plots
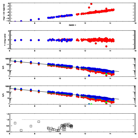
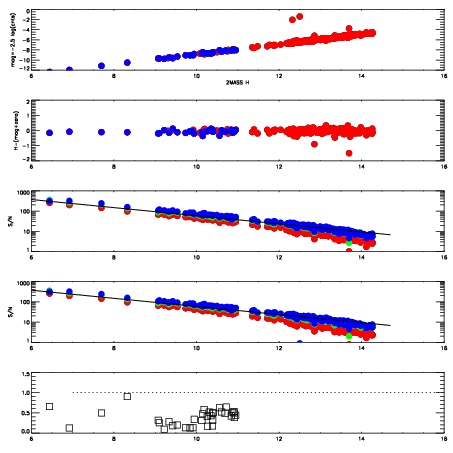
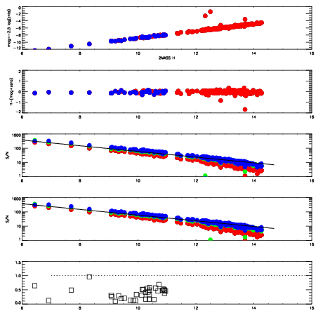
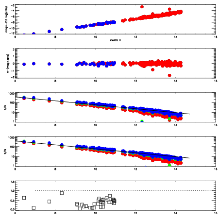
| Spatial mag deviation
| Spatial sky 16325A emission deviations (filled: sky, open: star)
| Spatial sky continuum emission
| Spatial sky telluric CO2 absorption deviations (filled: H < 10)
|
7850070
| 47
| | Red | Green | Blue
| z | | 18.79
| znorm | | 14.61
| sky | 15.4 | 14.9 | 14.8
| S/N | 13.6 | 22.2 | 24.0
| S/N(c) | 11.4 | 27.2 | 49.2
| SN(E/C) | 0.45
|
|
|
|
|
|
|
7850071
| 47
| | Red | Green | Blue
| z | | 18.87
| znorm | | 14.69
| sky | 15.5 | 15.1 | 15.5
| S/N | 14.3 | 23.2 | 25.9
| S/N(c) | 12.0 | 28.3 | 51.6
| SN(E/C) | 0.42
|
|
|
|
|
|
|
7850072
| 47
| | Red | Green | Blue
| z | | 18.89
| znorm | | 14.71
| sky | 15.4 | 15.1 | 15.1
| S/N | 14.5 | 23.3 | 26.0
| S/N(c) | 11.9 | 28.5 | 52.3
| SN(E/C) | 0.43
|
|
|
|
|
|
|
7850073
| 47
| | Red | Green | Blue
| z | | 18.88
| znorm | | 14.70
| sky | 15.3 | 15.1 | 15.3
| S/N | 14.2 | 23.3 | 26.4
| S/N(c) | 12.0 | 28.6 | 51.7
| SN(E/C) | 0.44
|
|
|
|
|
|
|
7850074
| 47
| | Red | Green | Blue
| z | | 18.94
| znorm | | 14.76
| sky | 15.3 | 15.3 | 15.2
| S/N | 14.9 | 24.3 | 27.0
| S/N(c) | 12.4 | 29.1 | 53.6
| SN(E/C) | 0.42
|
|
|
|
|
|
|
7850075
| 47
| | Red | Green | Blue
| z | | 19.01
| znorm | | 14.83
| sky | 15.6 | 15.2 | 15.4
| S/N | 15.7 | 24.9 | 27.8
| S/N(c) | 12.8 | 30.3 | 55.2
| SN(E/C) | 0.40
|
|
|
|
|
|
|
7850076
| 47
| | Red | Green | Blue
| z | | 18.92
| znorm | | 14.74
| sky | 15.6 | 15.1 | 15.5
| S/N | 14.9 | 23.8 | 26.8
| S/N(c) | 12.2 | 29.2 | 53.2
| SN(E/C) | 0.44
|
|
|
|
|
|
|
7850077
| 47
| | Red | Green | Blue
| z | | 18.92
| znorm | | 14.74
| sky | 15.3 | 15.2 | 15.3
| S/N | 14.6 | 23.9 | 26.4
| S/N(c) | 12.3 | 29.0 | 53.8
| SN(E/C) | 0.41
|
|
|
|
|
|
|