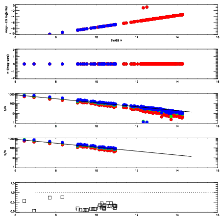
Left plots: red are targets, blue are telluric. Observed mags are calculated from median value of green chip. Zeropoint gives overall throughput: bigger number is more throughput.
First spatial plots: circles are objects, squares are tellurics, crosses are sky fibers. Colors give deviation of observed mag from expected 2MASS mag using the median zeropoint; red is brighter
Second spatial plots: circles are sky fibers. Colors give sky line brightness relative to plate median sky line brightness
FrameNreadsZeropointsMag plots Spatial mag deviation Spatial sky 16325A emission deviations (filled: sky, open: star) Spatial sky continuum emission Spatial sky telluric CO2 absorption deviations (filled: H < 10)
0 0
RedGreenBlue
z17.64
znorm Inf
sky -Inf -NaN -Inf
S/N 24.6 43.9 47.5
S/N(c) 19.0 48.5 90.7
SN(E/C) 0.28

IPAIRNAMESHIFTNEWSHIFTS/N NAMESHIFTNEWSHIFTS/N
0 07900053 0.468002 0.00000 18.8421 07900055 0.000953959 0.467048 18.8037
1 07900050 0.467941 6.10054e-05 18.9364 07900051 0.00136109 0.466641 18.9351
2 07900049 0.467205 0.000797004 18.9041 07900052 0.00113099 0.466871 18.8694
3 07900054 0.467463 0.000539005 18.8755 07900048 0.00000 0.468002 18.8460