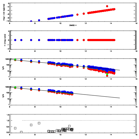
Left plots: red are targets, blue are telluric. Observed mags are calculated from median value of green chip. Zeropoint gives overall throughput: bigger number is more throughput.
First spatial plots: circles are objects, squares are tellurics, crosses are sky fibers. Colors give deviation of observed mag from expected 2MASS mag using the median zeropoint; red is brighter
Second spatial plots: circles are sky fibers. Colors give sky line brightness relative to plate median sky line brightness
FrameNreadsZeropointsMag plots Spatial mag deviation Spatial sky 16325A emission deviations (filled: sky, open: star) Spatial sky continuum emission Spatial sky telluric CO2 absorption deviations (filled: H < 10)
0 0
RedGreenBlue
z17.64
znorm Inf
sky -Inf -Inf -Inf
S/N 30.2 51.7 54.6
S/N(c) 38.9 73.2 48.1
SN(E/C) 0.26

IPAIRNAMESHIFTNEWSHIFTS/N NAMESHIFTNEWSHIFTS/N
0 07870077 0.469326 0.00000 19.1436 07870078 0.000515243 0.468811 19.0987
1 07870076 0.468735 0.000590980 19.1227 07870079 -0.000219184 0.469545 19.0971
2 07870080 0.467773 0.00155300 19.0943 07870082 3.28054e-05 0.469293 19.0871
3 07870081 0.468087 0.00123900 19.0880 07870075 0.00000 0.469326 19.0742