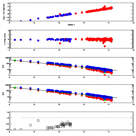
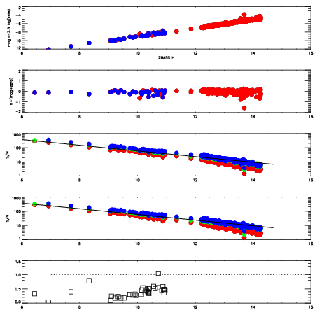
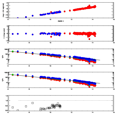
Frame | Nreads | Zeropoints | Mag plots
| Spatial mag deviation
| Spatial sky 16325A emission deviations (filled: sky, open: star)
| Spatial sky continuum emission
| Spatial sky telluric CO2 absorption deviations (filled: H < 10)
|
7910038
| 47
| | Red | Green | Blue
| z | | 19.13
| znorm | | 14.95
| sky | 15.3 | 14.7 | 14.6
| S/N | 17.0 | 26.2 | 27.9
| S/N(c) | 23.1 | 27.3 | 57.4
| SN(E/C) | 0.40
|
|
|
|
|
|
|
7910039
| 47
| | Red | Green | Blue
| z | | 19.16
| znorm | | 14.98
| sky | 15.1 | 14.6 | 15.2
| S/N | 17.1 | 26.5 | 28.5
| S/N(c) | 23.6 | 28.5 | 59.7
| SN(E/C) | 0.40
|
|
|
|
|
|
|
7910040
| 47
| | Red | Green | Blue
| z | | 19.18
| znorm | | 15.00
| sky | 15.1 | 14.8 | 15.1
| S/N | 17.3 | 26.8 | 28.6
| S/N(c) | 23.8 | 28.8 | 60.4
| SN(E/C) | 0.40
|
|
|
|
|
|
|
7910041
| 47
| | Red | Green | Blue
| z | | 19.14
| znorm | | 14.96
| sky | 15.1 | 14.8 | 15.0
| S/N | 16.9 | 26.4 | 28.0
| S/N(c) | 23.2 | 28.4 | 59.7
| SN(E/C) | 0.41
|
|
|
|
|
|
|
7910042
| 47
| | Red | Green | Blue
| z | | 19.22
| znorm | | 15.04
| sky | 15.0 | 14.9 | 15.0
| S/N | 17.7 | 27.3 | 29.1
| S/N(c) | 24.0 | 29.1 | 61.7
| SN(E/C) | 0.38
|
|
|
|
|
|
|
7910043
| 47
| | Red | Green | Blue
| z | | 19.22
| znorm | | 15.04
| sky | 15.1 | 15.0 | 15.0
| S/N | 17.6 | 27.3 | 29.2
| S/N(c) | 24.1 | 28.7 | 61.4
| SN(E/C) | 0.40
|
|
|
|
|
|
|
7910044
| 47
| | Red | Green | Blue
| z | | 19.20
| znorm | | 15.02
| sky | 15.3 | 15.1 | 15.1
| S/N | 17.3 | 27.2 | 28.8
| S/N(c) | 23.7 | 28.8 | 61.2
| SN(E/C) | 0.39
|
|
|
|
|
|
|
7910045
| 47
| | Red | Green | Blue
| z | | 19.20
| znorm | | 15.02
| sky | 15.3 | 15.0 | 15.0
| S/N | 17.6 | 27.4 | 29.1
| S/N(c) | 23.7 | 28.5 | 61.0
| SN(E/C) | 0.41
|
|
|
|
|
|
|