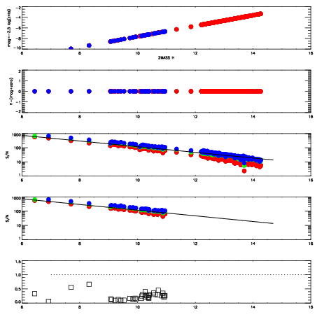
Left plots: red are targets, blue are telluric. Observed mags are calculated from median value of green chip. Zeropoint gives overall throughput: bigger number is more throughput.
First spatial plots: circles are objects, squares are tellurics, crosses are sky fibers. Colors give deviation of observed mag from expected 2MASS mag using the median zeropoint; red is brighter
Second spatial plots: circles are sky fibers. Colors give sky line brightness relative to plate median sky line brightness
FrameNreadsZeropointsMag plots Spatial mag deviation Spatial sky 16325A emission deviations (filled: sky, open: star) Spatial sky continuum emission Spatial sky telluric CO2 absorption deviations (filled: H < 10)
0 0
RedGreenBlue
z17.63
znorm Inf
sky -NaN -NaN -Inf
S/N 31.1 51.2 55.0
S/N(c) 40.7 50.2105.3
SN(E/C) 0.25

IPAIRNAMESHIFTNEWSHIFTS/N NAMESHIFTNEWSHIFTS/N
0 07910040 0.502700 0.00000 19.1916 07910038 0.00000 0.502700 19.1574
1 07910043 0.499735 0.00296497 19.2166 07910042 -0.000954342 0.503654 19.2166
2 07910044 0.501717 0.000983000 19.1972 07910045 -0.000142537 0.502842 19.1995
3 07910039 0.499727 0.00297296 19.1764 07910041 0.000728217 0.501972 19.1550