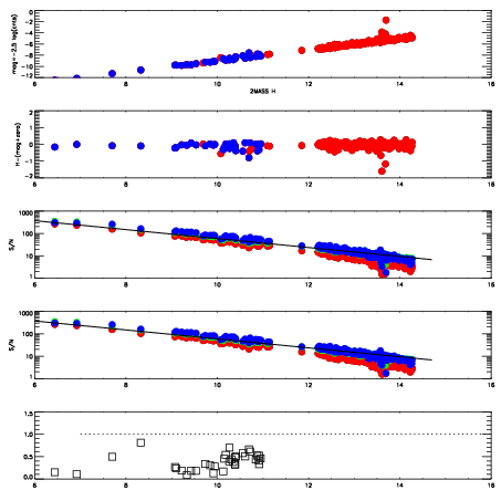
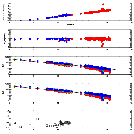
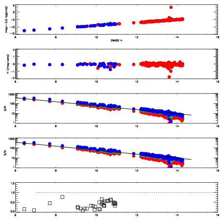
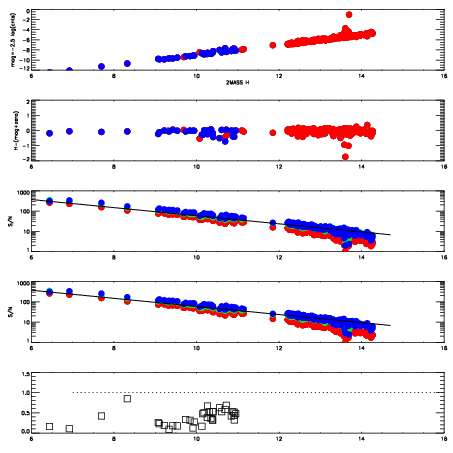
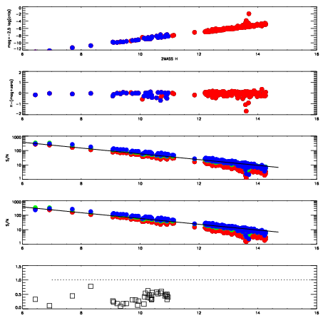
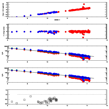
Frame | Nreads | Zeropoints | Mag plots
| Spatial mag deviation
| Spatial sky 16325A emission deviations (filled: sky, open: star)
| Spatial sky continuum emission
| Spatial sky telluric CO2 absorption deviations (filled: H < 10)
|
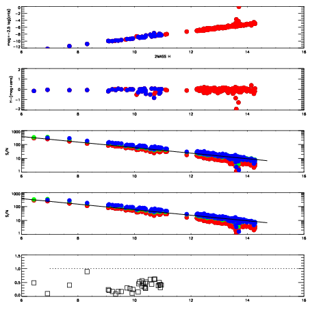
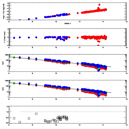
7920070
| 47
| | Red | Green | Blue
| z | | 19.06
| znorm | | 14.88
| sky | 15.0 | 14.5 | 14.5
| S/N | 14.5 | 23.1 | 23.9
| S/N(c) | 13.5 | 33.1 | 28.8
| SN(E/C) | 0.39
|
|
|
|
|
|
|
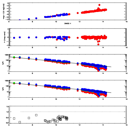
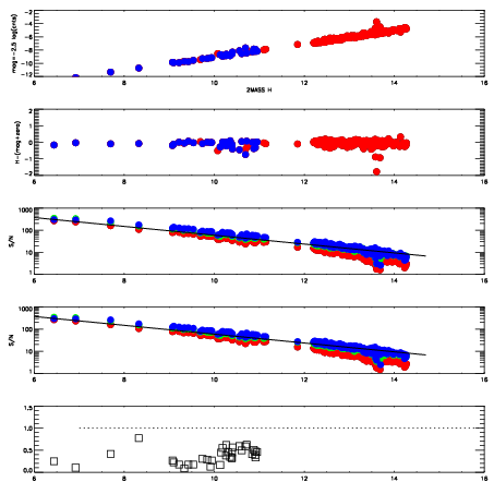
7920071
| 47
| | Red | Green | Blue
| z | | 19.09
| znorm | | 14.91
| sky | 15.0 | 14.8 | 15.0
| S/N | 14.4 | 23.2 | 24.6
| S/N(c) | 13.6 | 32.1 | 28.8
| SN(E/C) | 0.36
|
|
|
|
|
|
|
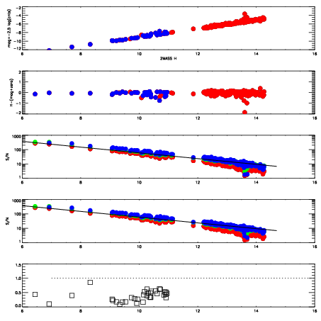
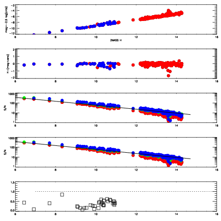
7920072
| 47
| | Red | Green | Blue
| z | | 19.20
| znorm | | 15.02
| sky | 15.1 | 14.9 | 15.0
| S/N | 15.3 | 24.5 | 25.9
| S/N(c) | 14.3 | 34.0 | 30.2
| SN(E/C) | 0.39
|
|
|
|
|
|
|
7920073
| 47
| | Red | Green | Blue
| z | | 19.21
| znorm | | 15.03
| sky | 15.3 | 15.1 | 15.0
| S/N | 15.1 | 24.1 | 25.5
| S/N(c) | 14.4 | 34.4 | 30.6
| SN(E/C) | 0.38
|
|
|
|
|
|
|
7920074
| 47
| | Red | Green | Blue
| z | | 19.11
| znorm | | 14.93
| sky | 15.1 | 14.9 | 15.2
| S/N | 14.4 | 23.0 | 24.3
| S/N(c) | 13.7 | 32.8 | 29.5
| SN(E/C) | 0.38
|
|
|
|
|
|
|
7920075
| 47
| | Red | Green | Blue
| z | | 19.13
| znorm | | 14.95
| sky | 15.3 | 15.1 | 14.7
| S/N | 14.2 | 22.8 | 24.3
| S/N(c) | 13.7 | 32.8 | 29.4
| SN(E/C) | 0.40
|
|
|
|
|
|
|
7920076
| 47
| | Red | Green | Blue
| z | | 19.11
| znorm | | 14.93
| sky | 15.0 | 14.9 | 15.0
| S/N | 13.9 | 22.9 | 23.9
| S/N(c) | 13.5 | 32.3 | 29.3
| SN(E/C) | 0.37
|
|
|
|
|
|
|
7920077
| 47
| | Red | Green | Blue
| z | | 19.19
| znorm | | 15.01
| sky | 15.3 | 15.2 | 14.8
| S/N | 15.0 | 23.5 | 25.0
| S/N(c) | 13.8 | 33.2 | 30.1
| SN(E/C) | 0.41
|
|
|
|
|
|
|
7920078
| 47
| | Red | Green | Blue
| z | | 19.06
| znorm | | 14.88
| sky | 15.0 | 14.8 | 14.9
| S/N | 13.4 | 21.8 | 22.7
| S/N(c) | 13.0 | 31.4 | 28.6
| SN(E/C) | 0.39
|
|
|
|
|
|
|
7920079
| 47
| | Red | Green | Blue
| z | | 19.19
| znorm | | 15.01
| sky | 14.9 | 15.0 | 14.8
| S/N | 14.3 | 23.2 | 23.9
| S/N(c) | 14.1 | 33.8 | 30.4
| SN(E/C) | 0.38
|
|
|
|
|
|
|
7920080
| 47
| | Red | Green | Blue
| z | | 19.17
| znorm | | 14.99
| sky | 15.3 | 14.9 | 15.1
| S/N | 14.1 | 23.1 | 24.1
| S/N(c) | 13.8 | 33.1 | 30.0
| SN(E/C) | 0.40
|
|
|
|
|
|
|
7920081
| 47
| | Red | Green | Blue
| z | | 19.12
| znorm | | 14.94
| sky | 14.9 | 15.0 | 14.8
| S/N | 14.0 | 22.1 | 23.1
| S/N(c) | 13.2 | 32.6 | 29.2
| SN(E/C) | 0.39
|
|
|
|
|
|
|