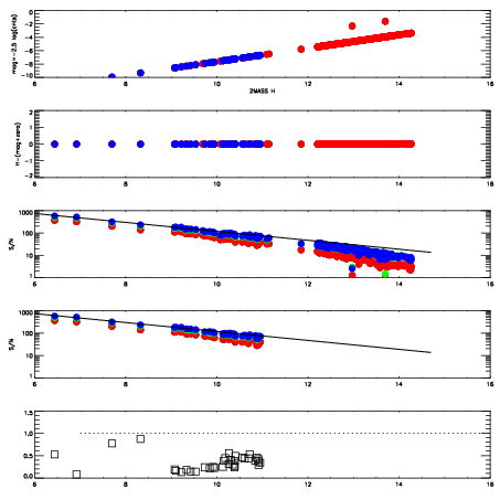
Left plots: red are targets, blue are telluric. Observed mags are calculated from median value of green chip. Zeropoint gives overall throughput: bigger number is more throughput.
First spatial plots: circles are objects, squares are tellurics, crosses are sky fibers. Colors give deviation of observed mag from expected 2MASS mag using the median zeropoint; red is brighter
Second spatial plots: circles are sky fibers. Colors give sky line brightness relative to plate median sky line brightness
FrameNreadsZeropointsMag plots Spatial mag deviation Spatial sky 16325A emission deviations (filled: sky, open: star) Spatial sky continuum emission Spatial sky telluric CO2 absorption deviations (filled: H < 10)
0 0
RedGreenBlue
z17.64
znorm Inf
sky -Inf -Inf -Inf
S/N 15.0 27.6 28.4
S/N(c) 26.5 24.4 42.1
SN(E/C) 0.34

IPAIRNAMESHIFTNEWSHIFTS/N NAMESHIFTNEWSHIFTS/N
0 08130044 0.514436 0.00000 18.2277 08130038 0.00000 0.514436 18.3842
1 08130040 0.512410 0.00202602 18.4742 08130045 0.00123403 0.513202 18.5096
2 08130043 0.509915 0.00452101 18.2921 08130041 0.000172973 0.514263 18.4056
3 08130039 0.510831 0.00360501 18.2165 08130042 -0.00164236 0.516078 18.1866