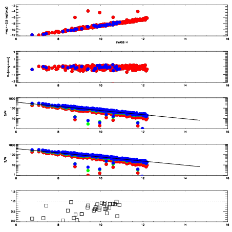
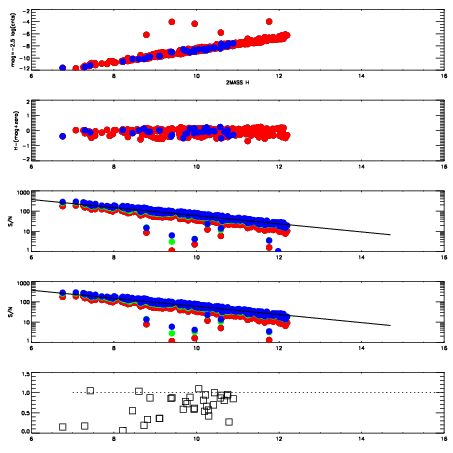
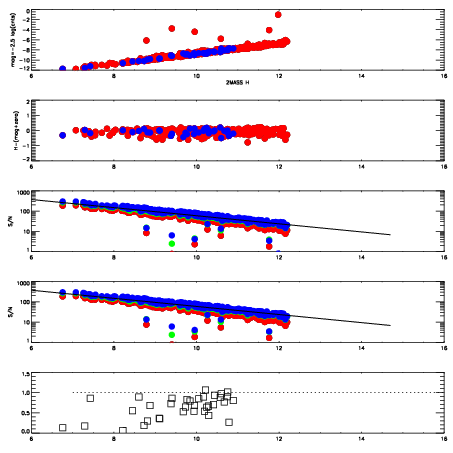
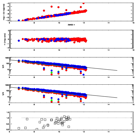
Frame | Nreads | Zeropoints | Mag plots
| Spatial mag deviation
| Spatial sky 16325A emission deviations (filled: sky, open: star)
| Spatial sky continuum emission
| Spatial sky telluric CO2 absorption deviations (filled: H < 10)
|
7850037
| 47
| | Red | Green | Blue
| z | | 18.84
| znorm | | 14.66
| sky | 14.3 | 14.1 | 14.0
| S/N | 13.2 | 21.6 | 22.4
| S/N(c) | 13.1 | 16.8 | 17.1
| SN(E/C) | 0.69
|
|
|
|
|
|
|
7850038
| 47
| | Red | Green | Blue
| z | | 18.87
| znorm | | 14.69
| sky | 14.8 | 14.4 | 14.4
| S/N | 13.0 | 22.2 | 24.0
| S/N(c) | 13.5 | 17.3 | 17.6
| SN(E/C) | 0.65
|
|
|
|
|
|
|
7850039
| 47
| | Red | Green | Blue
| z | | 18.89
| znorm | | 14.71
| sky | 14.6 | 14.3 | 14.3
| S/N | 13.6 | 22.8 | 23.8
| S/N(c) | 13.7 | 17.8 | 17.9
| SN(E/C) | 0.70
|
|
|
|
|
|
|
7850040
| 47
| | Red | Green | Blue
| z | | 18.81
| znorm | | 14.63
| sky | 14.7 | 14.4 | 14.4
| S/N | 12.6 | 21.8 | 22.4
| S/N(c) | 13.1 | 17.5 | 17.2
| SN(E/C) | 0.68
|
|
|
|
|
|
|
7850041
| 47
| | Red | Green | Blue
| z | | 18.76
| znorm | | 14.58
| sky | 14.6 | 14.3 | 14.4
| S/N | 12.2 | 21.1 | 22.8
| S/N(c) | 12.7 | 17.2 | 17.2
| SN(E/C) | 0.72
|
|
|
|
|
|
|
7850042
| 47
| | Red | Green | Blue
| z | | 18.76
| znorm | | 14.58
| sky | 14.6 | 14.4 | 14.4
| S/N | 12.6 | 21.4 | 22.4
| S/N(c) | 12.6 | 16.8 | 17.1
| SN(E/C) | 0.72
|
|
|
|
|
|
|
7850043
| 47
| | Red | Green | Blue
| z | | 18.76
| znorm | | 14.58
| sky | 14.6 | 14.5 | 14.4
| S/N | 12.5 | 21.7 | 23.1
| S/N(c) | 12.8 | 17.2 | 17.2
| SN(E/C) | 0.68
|
|
|
|
|
|
|
7850044
| 47
| | Red | Green | Blue
| z | | 18.63
| znorm | | 14.45
| sky | 14.6 | 14.5 | 14.5
| S/N | 11.2 | 20.1 | 21.3
| S/N(c) | 12.0 | 16.2 | 16.2
| SN(E/C) | 0.71
|
|
|
|
|
|
|