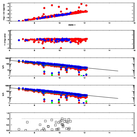
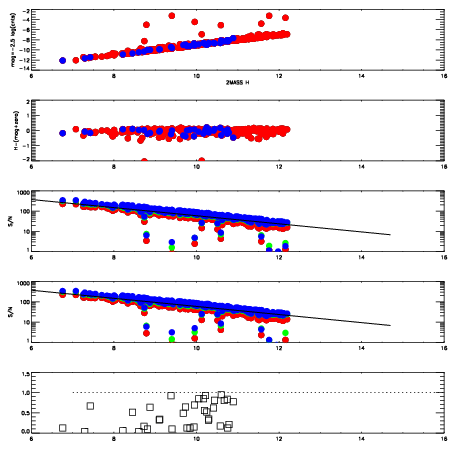
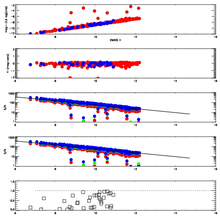
Frame | Nreads | Zeropoints | Mag plots
| Spatial mag deviation
| Spatial sky 16325A emission deviations (filled: sky, open: star)
| Spatial sky continuum emission
| Spatial sky telluric CO2 absorption deviations (filled: H < 10)
|
8170011
| 47
| | Red | Green | Blue
| z | | 19.02
| znorm | | 14.84
| sky | 14.3 | 14.1 | 13.9
| S/N | 15.7 | 24.6 | 26.5
| S/N(c) | 23.0 | 15.7 | 14.5
| SN(E/C) | 0.49
|
|
|
|
|
|
|
8170012
| 47
| | Red | Green | Blue
| z | | 19.02
| znorm | | 14.84
| sky | 14.3 | 14.1 | 14.1
| S/N | 15.3 | 25.1 | 26.7
| S/N(c) | 22.3 | 15.4 | 14.5
| SN(E/C) | 0.43
|
|
|
|
|
|
|
8170013
| 47
| | Red | Green | Blue
| z | | 18.82
| znorm | | 14.64
| sky | 14.1 | 14.1 | 14.1
| S/N | 13.4 | 22.5 | 24.4
| S/N(c) | 19.7 | 13.8 | 13.0
| SN(E/C) | 0.47
|
|
|
|
|
|
|
8170014
| 47
| | Red | Green | Blue
| z | | 18.49
| znorm | | 14.31
| sky | 13.9 | 13.9 | 14.0
| S/N | 10.6 | 17.7 | 20.2
| S/N(c) | 16.2 | 11.4 | 10.9
| SN(E/C) | 0.58
|
|
|
|
|
|
|
8170015
| 47
| | Red | Green | Blue
| z | | 18.78
| znorm | | 14.60
| sky | 14.0 | 14.1 | 14.1
| S/N | 12.6 | 21.5 | 23.6
| S/N(c) | 19.4 | 13.5 | 12.5
| SN(E/C) | 0.45
|
|
|
|
|
|
|
8170016
| 47
| | Red | Green | Blue
| z | | 19.02
| znorm | | 14.84
| sky | 14.3 | 14.3 | 14.3
| S/N | 15.2 | 24.5 | 27.3
| S/N(c) | 22.4 | 15.2 | 14.4
| SN(E/C) | 0.45
|
|
|
|
|
|
|
8170017
| 47
| | Red | Green | Blue
| z | | 18.81
| znorm | | 14.63
| sky | 14.1 | 14.1 | 14.1
| S/N | 13.0 | 21.3 | 24.8
| S/N(c) | 19.6 | 13.7 | 12.9
| SN(E/C) | 0.48
|
|
|
|
|
|
|
8170018
| 47
| | Red | Green | Blue
| z | | 17.61
| znorm | | 13.43
| sky | 13.5 | 13.5 | 13.7
| S/N | 5.0 | 9.3 | 10.9
| S/N(c) | 8.8 | 6.9 | 6.7
| SN(E/C) | 0.69
|
|
|
|
|
|
|