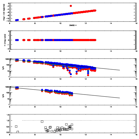
Left plots: red are targets, blue are telluric. Observed mags are calculated from median value of green chip. Zeropoint gives overall throughput: bigger number is more throughput.
First spatial plots: circles are objects, squares are tellurics, crosses are sky fibers. Colors give deviation of observed mag from expected 2MASS mag using the median zeropoint; red is brighter
Second spatial plots: circles are sky fibers. Colors give sky line brightness relative to plate median sky line brightness
FrameNreadsZeropointsMag plots Spatial mag deviation Spatial sky 16325A emission deviations (filled: sky, open: star) Spatial sky continuum emission Spatial sky telluric CO2 absorption deviations (filled: H < 10)
0 0
RedGreenBlue
z17.64
znorm Inf
sky -NaN -Inf -NaN
S/N 24.8 42.3 43.2
S/N(c) 0.0 0.0 0.0
SN(E/C) 0.29

IPAIRNAMESHIFTNEWSHIFTS/N NAMESHIFTNEWSHIFTS/N
0 07620028 0.482049 0.00000 18.6372 07620029 -0.00214160 0.484191 18.5813
1 07620031 0.479217 0.00283200 19.0298 07620033 -0.00295418 0.485003 18.8469
2 07620032 0.479898 0.00215098 18.9403 07620026 0.00000 0.482049 18.8202
3 07620027 0.481439 0.000609994 18.6381 07620030 -0.00339281 0.485442 18.8092