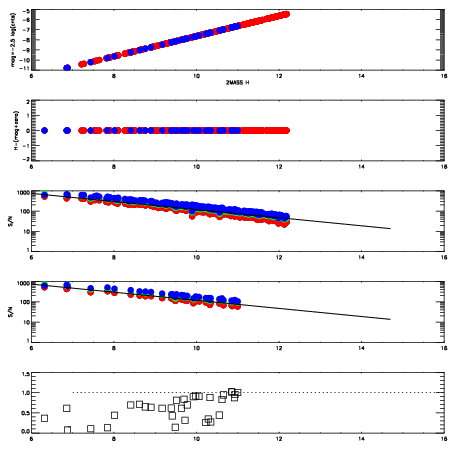
Left plots: red are targets, blue are telluric. Observed mags are calculated from median value of green chip. Zeropoint gives overall throughput: bigger number is more throughput.
First spatial plots: circles are objects, squares are tellurics, crosses are sky fibers. Colors give deviation of observed mag from expected 2MASS mag using the median zeropoint; red is brighter
Second spatial plots: circles are sky fibers. Colors give sky line brightness relative to plate median sky line brightness
FrameNreadsZeropointsMag plots Spatial mag deviation Spatial sky 16325A emission deviations (filled: sky, open: star) Spatial sky continuum emission Spatial sky telluric CO2 absorption deviations (filled: H < 10)
0 0
RedGreenBlue
z17.64
znorm Inf
sky -Inf -Inf -Inf
S/N 29.6 49.4 54.7
S/N(c) 0.0 0.0 0.0
SN(E/C) 0.65

IPAIRNAMESHIFTNEWSHIFTS/N NAMESHIFTNEWSHIFTS/N
0 07540076 0.475140 0.00000 19.2761 07540081 0.000523009 0.474617 19.2652
1 07540079 0.474425 0.000715017 19.2655 07540077 0.00142957 0.473710 19.2561
2 07540075 0.474329 0.000811011 19.2652 07540078 -0.00137423 0.476514 19.2525
3 07540080 0.475040 0.000100017 19.2583 07540074 0.00000 0.475140 19.2514