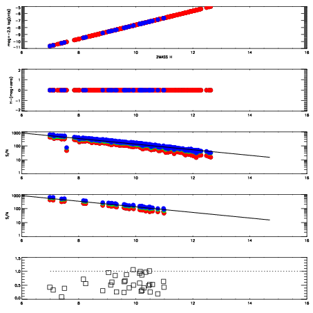
Left plots: red are targets, blue are telluric. Observed mags are calculated from median value of green chip. Zeropoint gives overall throughput: bigger number is more throughput.
First spatial plots: circles are objects, squares are tellurics, crosses are sky fibers. Colors give deviation of observed mag from expected 2MASS mag using the median zeropoint; red is brighter
Second spatial plots: circles are sky fibers. Colors give sky line brightness relative to plate median sky line brightness
FrameNreadsZeropointsMag plots Spatial mag deviation Spatial sky 16325A emission deviations (filled: sky, open: star) Spatial sky continuum emission Spatial sky telluric CO2 absorption deviations (filled: H < 10)
0 0
RedGreenBlue
z17.64
znorm Inf
sky -NaN -NaN -Inf
S/N 24.4 42.0 45.6
S/N(c) 0.0 0.0 0.0
SN(E/C) 0.52

IPAIRNAMESHIFTNEWSHIFTS/N NAMESHIFTNEWSHIFTS/N
0 07220074 0.478449 0.00000 18.6720 07220072 0.00000 0.478449 18.1667
1 07220078 0.476888 0.00156099 18.9114 07220075 0.00262132 0.475828 18.9195
2 07220077 0.476452 0.00199699 18.8913 07220079 0.00286732 0.475582 18.8684
3 07220081 0.474289 0.00415999 18.8399 07220080 0.00169361 0.476755 18.8254
4 07220073 0.478260 0.000188977 18.7576 07220076 0.00250718 0.475942 18.6213