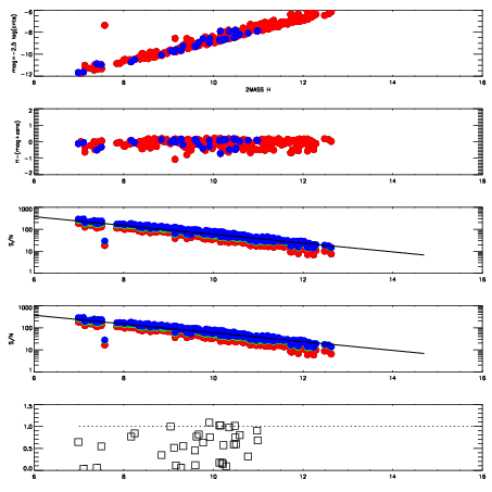
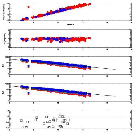
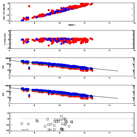
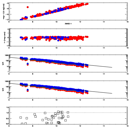
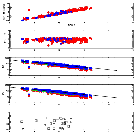
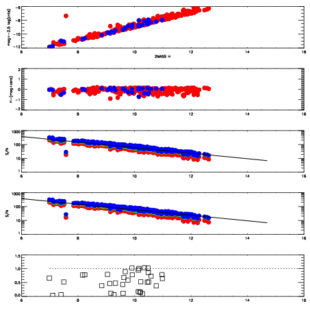
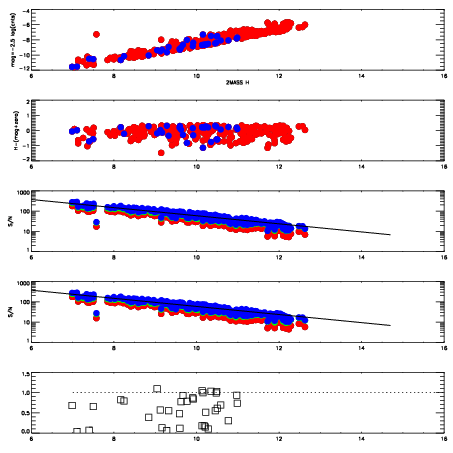
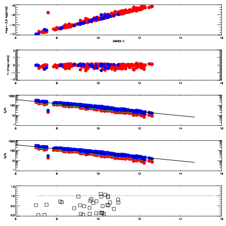
Frame | Nreads | Zeropoints | Mag plots
| Spatial mag deviation
| Spatial sky 16325A emission deviations (filled: sky, open: star)
| Spatial sky continuum emission
| Spatial sky telluric CO2 absorption deviations (filled: H < 10)
|
7280094
| 47
| | Red | Green | Blue
| z | | 18.88
| znorm | | 14.70
| sky | 14.5 | 14.1 | 14.0
| S/N | 13.5 | 21.9 | 22.8
| S/N(c) | 15.4 | 19.6 | 11.3
| SN(E/C) | 0.56
|
|
|
|
|
|
|
7280095
| 47
| | Red | Green | Blue
| z | | 18.92
| znorm | | 14.74
| sky | 14.5 | 14.2 | 14.2
| S/N | 13.8 | 22.4 | 23.4
| S/N(c) | 15.6 | 19.9 | 11.7
| SN(E/C) | 0.54
|
|
|
|
|
|
|
7280096
| 47
| | Red | Green | Blue
| z | | 18.87
| znorm | | 14.69
| sky | 14.6 | 14.2 | 14.2
| S/N | 13.3 | 21.7 | 22.9
| S/N(c) | 15.2 | 19.6 | 11.3
| SN(E/C) | 0.54
|
|
|
|
|
|
|
7280097
| 47
| | Red | Green | Blue
| z | | 18.89
| znorm | | 14.71
| sky | 14.5 | 14.4 | 14.2
| S/N | 13.5 | 21.8 | 23.0
| S/N(c) | 15.3 | 19.8 | 11.6
| SN(E/C) | 0.57
|
|
|
|
|
|
|
7280098
| 47
| | Red | Green | Blue
| z | | 18.88
| znorm | | 14.70
| sky | 14.6 | 14.3 | 14.2
| S/N | 13.3 | 21.9 | 23.5
| S/N(c) | 15.3 | 19.7 | 11.4
| SN(E/C) | 0.53
|
|
|
|
|
|
|
7280099
| 47
| | Red | Green | Blue
| z | | 18.77
| znorm | | 14.59
| sky | 14.6 | 14.3 | 14.3
| S/N | 12.6 | 21.0 | 22.4
| S/N(c) | 14.6 | 18.4 | 10.8
| SN(E/C) | 0.61
|
|
|
|
|
|
|
7280100
| 47
| | Red | Green | Blue
| z | | 18.77
| znorm | | 14.59
| sky | 14.4 | 14.4 | 14.2
| S/N | 12.5 | 20.9 | 22.6
| S/N(c) | 14.3 | 18.4 | 10.7
| SN(E/C) | 0.59
|
|
|
|
|
|
|
7280101
| 47
| | Red | Green | Blue
| z | | 18.82
| znorm | | 14.63
| sky | 14.5 | 14.3 | 14.2
| S/N | 13.2 | 21.9 | 23.1
| S/N(c) | 14.7 | 18.9 | 10.8
| SN(E/C) | 0.60
|
|
|
|
|
|
|
7280102
| 47
| | Red | Green | Blue
| z | | 18.72
| znorm | | 14.54
| sky | 14.5 | 14.4 | 14.3
| S/N | 12.3 | 21.1 | 22.3
| S/N(c) | 13.9 | 18.0 | 10.5
| SN(E/C) | 0.62
|
|
|
|
|
|
|
7280103
| 47
| | Red | Green | Blue
| z | | 18.60
| znorm | | 14.42
| sky | 14.7 | 14.5 | 14.3
| S/N | 11.3 | 19.6 | 20.5
| S/N(c) | 13.0 | 17.2 | 9.8
| SN(E/C) | 0.65
|
|
|
|
|
|
|