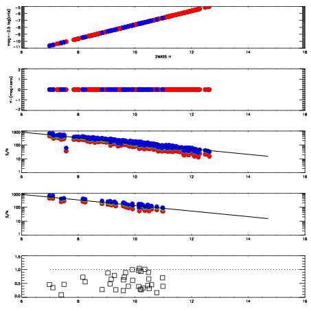
Left plots: red are targets, blue are telluric. Observed mags are calculated from median value of green chip. Zeropoint gives overall throughput: bigger number is more throughput.
First spatial plots: circles are objects, squares are tellurics, crosses are sky fibers. Colors give deviation of observed mag from expected 2MASS mag using the median zeropoint; red is brighter
Second spatial plots: circles are sky fibers. Colors give sky line brightness relative to plate median sky line brightness
FrameNreadsZeropointsMag plots Spatial mag deviation Spatial sky 16325A emission deviations (filled: sky, open: star) Spatial sky continuum emission Spatial sky telluric CO2 absorption deviations (filled: H < 10)
0 0
RedGreenBlue
z17.64
znorm Inf
sky -NaN -NaN -Inf
S/N 25.0 44.0 48.6
S/N(c) 0.0 0.0 0.0
SN(E/C) 0.47

IPAIRNAMESHIFTNEWSHIFTS/N NAMESHIFTNEWSHIFTS/N
0 07280103 0.485303 0.00000 18.5504 07280102 0.00218009 0.483123 18.6915
1 07280095 0.481290 0.00401300 18.9123 07280097 0.00371473 0.481588 18.8819
2 07280096 0.481840 0.00346300 18.8666 07280098 0.00175886 0.483544 18.8737
3 07280099 0.482129 0.00317401 18.7633 07280094 0.00000 0.485303 18.8710
4 07280100 0.483295 0.00200802 18.7546 07280101 0.00277483 0.482528 18.7935