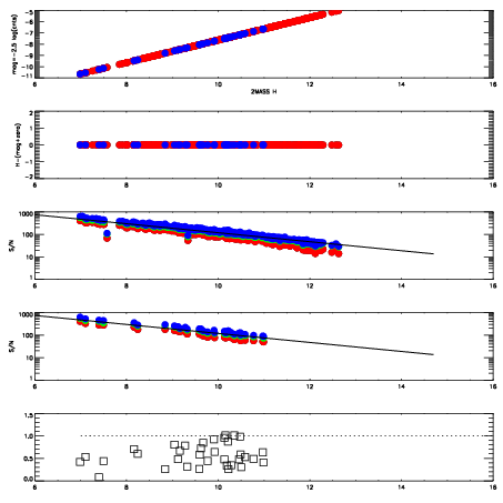
Left plots: red are targets, blue are telluric. Observed mags are calculated from median value of green chip. Zeropoint gives overall throughput: bigger number is more throughput.
First spatial plots: circles are objects, squares are tellurics, crosses are sky fibers. Colors give deviation of observed mag from expected 2MASS mag using the median zeropoint; red is brighter
Second spatial plots: circles are sky fibers. Colors give sky line brightness relative to plate median sky line brightness
FrameNreadsZeropointsMag plots Spatial mag deviation Spatial sky 16325A emission deviations (filled: sky, open: star) Spatial sky continuum emission Spatial sky telluric CO2 absorption deviations (filled: H < 10)
0 0
RedGreenBlue
z17.64
znorm Inf
sky -NaN -NaN -Inf
S/N 23.7 40.1 43.9
S/N(c) 0.0 0.0 0.0
SN(E/C) 0.53

IPAIRNAMESHIFTNEWSHIFTS/N NAMESHIFTNEWSHIFTS/N
0 07530067 0.478651 0.00000 18.8269 07530061 0.00000 0.478651 18.8816
1 07530062 0.475630 0.00302100 18.9214 07530068 0.00349157 0.475159 18.9012
2 07530063 0.477908 0.000743002 18.8041 07530064 0.00472863 0.473922 18.7858
3 07530066 0.478321 0.000330001 18.8002 07530065 0.00332029 0.475331 18.7505