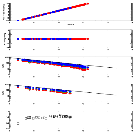
Left plots: red are targets, blue are telluric. Observed mags are calculated from median value of green chip. Zeropoint gives overall throughput: bigger number is more throughput.
First spatial plots: circles are objects, squares are tellurics, crosses are sky fibers. Colors give deviation of observed mag from expected 2MASS mag using the median zeropoint; red is brighter
Second spatial plots: circles are sky fibers. Colors give sky line brightness relative to plate median sky line brightness
FrameNreadsZeropointsMag plots Spatial mag deviation Spatial sky 16325A emission deviations (filled: sky, open: star) Spatial sky continuum emission Spatial sky telluric CO2 absorption deviations (filled: H < 10)
0 0
RedGreenBlue
z17.64
znorm Inf
sky -Inf -Inf -Inf
S/N 10.4 20.1 21.4
S/N(c) 0.0 0.0 0.0
SN(E/C) 1.00

IPAIRNAMESHIFTNEWSHIFTS/N NAMESHIFTNEWSHIFTS/N
0 07220052 0.475081 0.00000 17.7116 07220046 0.00000 0.475081 17.5761
1 07220048 0.471568 0.00351301 18.0489 07220053 -0.00253499 0.477616 18.4557
2 07220047 0.471686 0.00339499 17.8256 07220050 -0.000568870 0.475650 17.8625
3 07220051 0.474117 0.000963986 17.5208 07220049 0.00161381 0.473467 17.4872