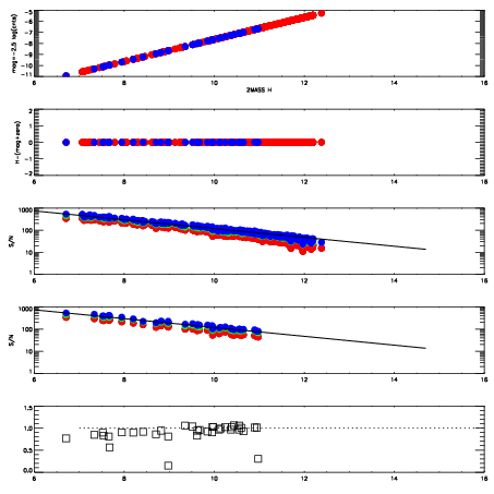
Left plots: red are targets, blue are telluric. Observed mags are calculated from median value of green chip. Zeropoint gives overall throughput: bigger number is more throughput.
First spatial plots: circles are objects, squares are tellurics, crosses are sky fibers. Colors give deviation of observed mag from expected 2MASS mag using the median zeropoint; red is brighter
Second spatial plots: circles are sky fibers. Colors give sky line brightness relative to plate median sky line brightness
FrameNreadsZeropointsMag plots Spatial mag deviation Spatial sky 16325A emission deviations (filled: sky, open: star) Spatial sky continuum emission Spatial sky telluric CO2 absorption deviations (filled: H < 10)
0 0
RedGreenBlue
z17.64
znorm Inf
sky -Inf -Inf -Inf
S/N 20.2 35.8 37.3
S/N(c) 0.0 0.0 0.0
SN(E/C) 0.94

IPAIRNAMESHIFTNEWSHIFTS/N NAMESHIFTNEWSHIFTS/N
0 07510038 0.481354 0.00000 18.6413 07510036 0.00000 0.481354 18.7806
1 07510037 0.480944 0.000409991 18.5861 07510039 -0.000968483 0.482322 18.5892
2 07510041 0.467025 0.0143290 18.5456 07510043 -0.00230656 0.483661 18.5775
3 07510042 0.467326 0.0140280 18.5198 07510040 -0.00196829 0.483322 18.5417