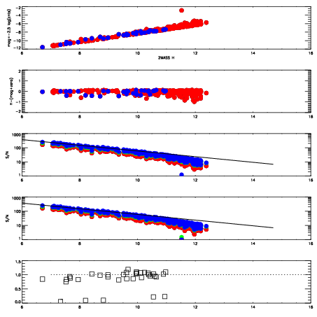
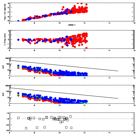
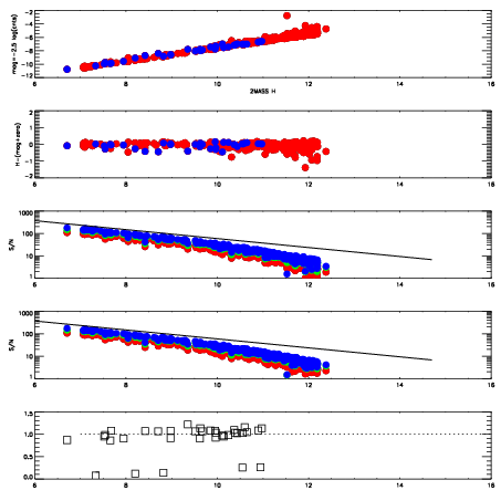
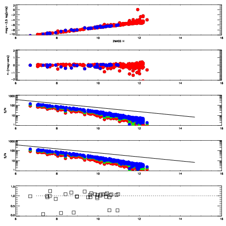
Left plots: red are targets, blue are telluric. Observed mags are calculated from median value of green chip. Zeropoint gives overall throughput: bigger number is more throughput.
First spatial plots: circles are objects, squares are tellurics, crosses are sky fibers. Colors give deviation of observed mag from expected 2MASS mag using the median zeropoint; red is brighter
Second spatial plots: circles are sky fibers. Colors give sky line brightness relative to plate median sky line brightness
FrameNreadsZeropointsMag plots Spatial mag deviation Spatial sky 16325A emission deviations (filled: sky, open: star) Spatial sky continuum emission Spatial sky telluric CO2 absorption deviations (filled: H < 10)
7560022 47
RedGreenBlue
z18.30
znorm14.12
sky 12.2 12.2 12.2
S/N 6.8 10.7 11.4
S/N(c) 12.9 2.9 2.7
SN(E/C) 0.95
7560023 47
RedGreenBlue
z17.55
znorm13.37
sky 11.9 11.8 11.9
S/N 3.4 5.8 6.2
S/N(c) 6.9 1.6 1.5
SN(E/C) 1.03
7560024 47
RedGreenBlue
z17.00
znorm12.82
sky 11.8 11.8 11.8
S/N 2.0 3.6 3.8
S/N(c) 4.3 1.0 1.0
SN(E/C) 1.00
7560025 47
RedGreenBlue
z14.73
znorm10.55
sky 11.9 11.9 12.1
S/N 0.2 0.5 0.6
S/N(c) 0.5 0.1 0.2
SN(E/C) 0.99