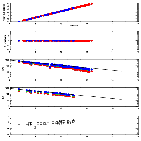
Left plots: red are targets, blue are telluric. Observed mags are calculated from median value of green chip. Zeropoint gives overall throughput: bigger number is more throughput.
First spatial plots: circles are objects, squares are tellurics, crosses are sky fibers. Colors give deviation of observed mag from expected 2MASS mag using the median zeropoint; red is brighter
Second spatial plots: circles are sky fibers. Colors give sky line brightness relative to plate median sky line brightness
FrameNreadsZeropointsMag plots Spatial mag deviation Spatial sky 16325A emission deviations (filled: sky, open: star) Spatial sky continuum emission Spatial sky telluric CO2 absorption deviations (filled: H < 10)
0 0
RedGreenBlue
z17.64
znorm Inf
sky -NaN -Inf -Inf
S/N 14.8 27.9 29.5
S/N(c) 0.0 0.0 0.0
SN(E/C) 0.93

IPAIRNAMESHIFTNEWSHIFTS/N NAMESHIFTNEWSHIFTS/N
0 07880017 0.474156 0.00000 18.3146 07880015 0.00188657 0.472269 18.4490
1 07880016 0.473437 0.000718981 18.3547 07880014 -0.000330567 0.474487 18.4597
2 07880012 0.468430 0.00572598 18.1738 07880018 0.00337664 0.470779 18.3414
3 07880013 0.468811 0.00534499 17.8278 07880011 0.00000 0.474156 17.6740