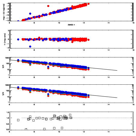
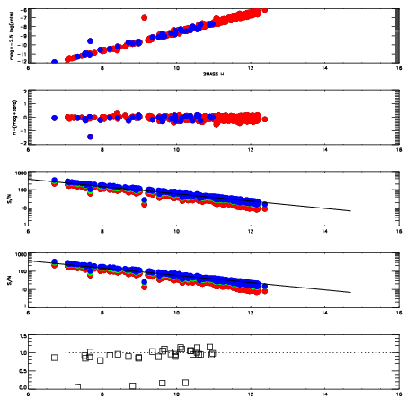
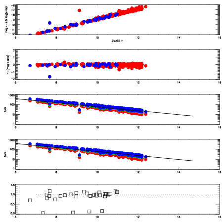
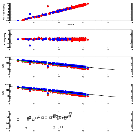
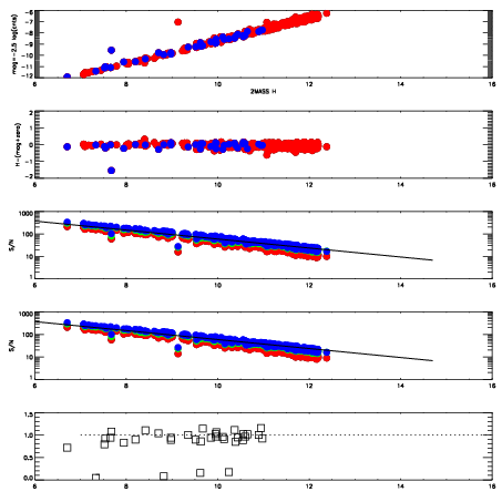
Frame | Nreads | Zeropoints | Mag plots
| Spatial mag deviation
| Spatial sky 16325A emission deviations (filled: sky, open: star)
| Spatial sky continuum emission
| Spatial sky telluric CO2 absorption deviations (filled: H < 10)
|
7890011
| 47
| | Red | Green | Blue
| z | | 18.78
| znorm | | 14.60
| sky | 14.5 | 14.2 | 13.9
| S/N | 12.9 | 21.6 | 22.2
| S/N(c) | 20.0 | 29.0 | 12.4
| SN(E/C) | 0.96
|
|
|
|
|
|
|
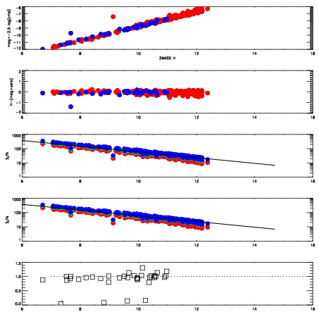
7890012
| 47
| | Red | Green | Blue
| z | | 18.92
| znorm | | 14.74
| sky | 14.5 | 14.4 | 14.3
| S/N | 13.8 | 23.3 | 24.2
| S/N(c) | 21.5 | 30.6 | 13.2
| SN(E/C) | 0.92
|
|
|
|
|
|
|
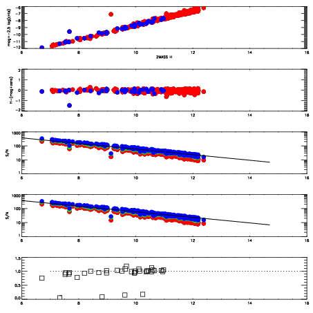
7890013
| 47
| | Red | Green | Blue
| z | | 18.95
| znorm | | 14.77
| sky | 14.7 | 14.4 | 14.4
| S/N | 14.1 | 23.2 | 24.7
| S/N(c) | 21.6 | 30.6 | 13.4
| SN(E/C) | 0.97
|
|
|
|
|
|
|
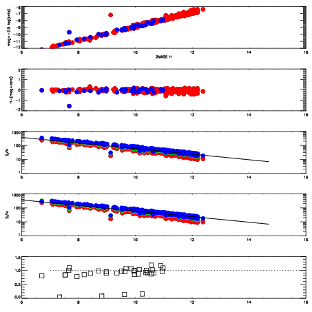
7890014
| 47
| | Red | Green | Blue
| z | | 18.71
| znorm | | 14.53
| sky | 14.7 | 14.4 | 14.3
| S/N | 12.2 | 20.6 | 21.6
| S/N(c) | 18.7 | 27.5 | 11.8
| SN(E/C) | 0.98
|
|
|
|
|
|
|
7890015
| 47
| | Red | Green | Blue
| z | | 18.81
| znorm | | 14.63
| sky | 14.7 | 14.4 | 14.5
| S/N | 13.0 | 21.8 | 22.9
| S/N(c) | 20.1 | 28.8 | 12.5
| SN(E/C) | 0.95
|
|
|
|
|
|
|
7890016
| 47
| | Red | Green | Blue
| z | | 18.67
| znorm | | 14.49
| sky | 14.8 | 14.7 | 14.5
| S/N | 11.6 | 20.2 | 21.2
| S/N(c) | 18.3 | 26.9 | 11.6
| SN(E/C) | 0.95
|
|
|
|
|
|
|
7890017
| 47
| | Red | Green | Blue
| z | | 18.75
| znorm | | 14.57
| sky | 14.6 | 14.5 | 14.5
| S/N | 12.4 | 20.8 | 22.4
| S/N(c) | 19.4 | 28.2 | 12.2
| SN(E/C) | 0.94
|
|
|
|
|
|
|
7890018
| 47
| | Red | Green | Blue
| z | | 18.83
| znorm | | 14.65
| sky | 14.6 | 14.5 | 14.5
| S/N | 13.0 | 22.1 | 23.3
| S/N(c) | 20.3 | 29.3 | 12.8
| SN(E/C) | 0.96
|
|
|
|
|
|
|