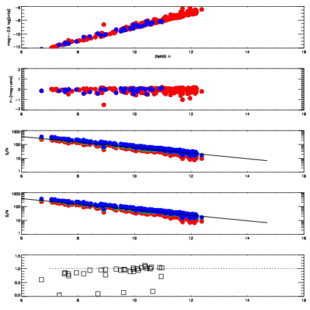
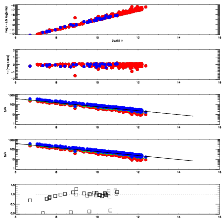
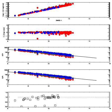
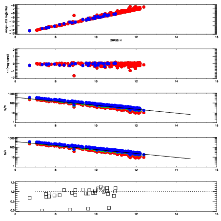
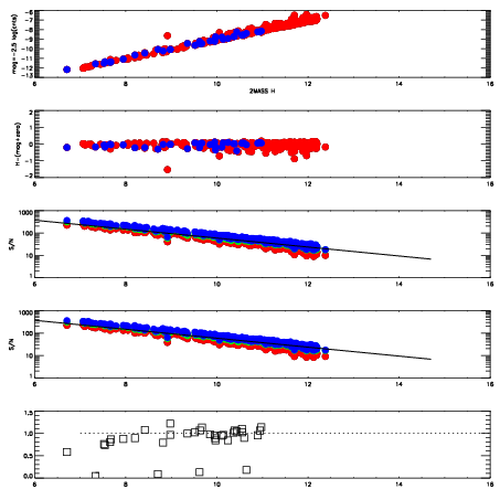
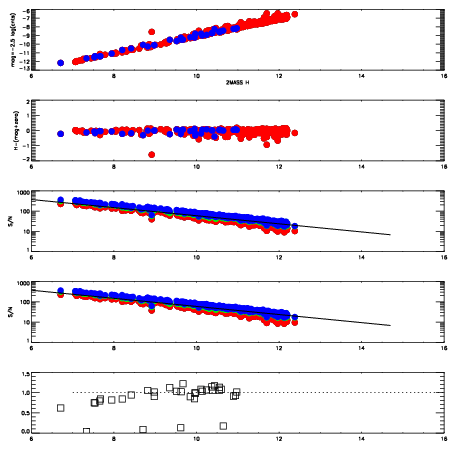
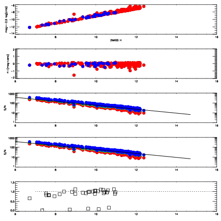
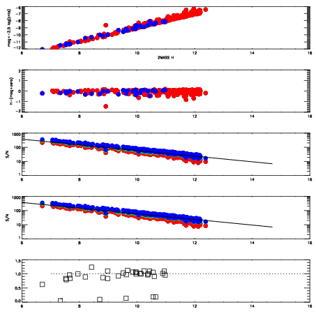
Frame | Nreads | Zeropoints | Mag plots
| Spatial mag deviation
| Spatial sky 16325A emission deviations (filled: sky, open: star)
| Spatial sky continuum emission
| Spatial sky telluric CO2 absorption deviations (filled: H < 10)
|
10230084
| 47
| | Red | Green | Blue
| z | | 19.02
| znorm | | 14.84
| sky | 14.7 | 14.3 | 14.0
| S/N | 14.6 | 23.7 | 24.6
| S/N(c) | 25.1 | 15.4 | 14.2
| SN(E/C) | 0.95
|
|
|
|
|
|
|
10230085
| 47
| | Red | Green | Blue
| z | | 19.05
| znorm | | 14.87
| sky | 14.5 | 14.3 | 14.5
| S/N | 14.9 | 24.3 | 25.7
| S/N(c) | 25.4 | 15.5 | 14.4
| SN(E/C) | 0.94
|
|
|
|
|
|
|
10230086
| 47
| | Red | Green | Blue
| z | | 18.99
| znorm | | 14.81
| sky | 14.5 | 14.4 | 14.4
| S/N | 14.3 | 23.6 | 24.9
| S/N(c) | 24.5 | 15.0 | 14.1
| SN(E/C) | 0.97
|
|
|
|
|
|
|
10230087
| 47
| | Red | Green | Blue
| z | | 19.02
| znorm | | 14.84
| sky | 14.6 | 14.4 | 14.5
| S/N | 14.7 | 23.5 | 25.5
| S/N(c) | 24.9 | 15.2 | 14.4
| SN(E/C) | 0.97
|
|
|
|
|
|
|
10230088
| 47
| | Red | Green | Blue
| z | | 19.08
| znorm | | 14.90
| sky | 14.4 | 14.4 | 14.4
| S/N | 15.4 | 24.7 | 26.5
| S/N(c) | 25.9 | 15.7 | 14.9
| SN(E/C) | 0.95
|
|
|
|
|
|
|
10230089
| 47
| | Red | Green | Blue
| z | | 19.09
| znorm | | 14.91
| sky | 14.7 | 14.4 | 14.5
| S/N | 15.2 | 24.4 | 26.8
| S/N(c) | 26.0 | 15.8 | 15.0
| SN(E/C) | 0.98
|
|
|
|
|
|
|
10230090
| 47
| | Red | Green | Blue
| z | | 19.11
| znorm | | 14.93
| sky | 14.6 | 14.5 | 14.4
| S/N | 15.4 | 24.8 | 27.0
| S/N(c) | 26.4 | 15.9 | 15.1
| SN(E/C) | 0.93
|
|
|
|
|
|
|
10230091
| 47
| | Red | Green | Blue
| z | | 19.15
| znorm | | 14.97
| sky | 14.6 | 14.5 | 14.4
| S/N | 16.0 | 25.1 | 27.2
| S/N(c) | 26.9 | 16.3 | 15.5
| SN(E/C) | 0.93
|
|
|
|
|
|
|