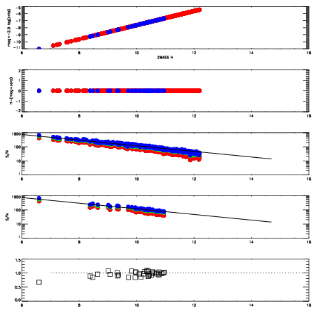
Left plots: red are targets, blue are telluric. Observed mags are calculated from median value of green chip. Zeropoint gives overall throughput: bigger number is more throughput.
First spatial plots: circles are objects, squares are tellurics, crosses are sky fibers. Colors give deviation of observed mag from expected 2MASS mag using the median zeropoint; red is brighter
Second spatial plots: circles are sky fibers. Colors give sky line brightness relative to plate median sky line brightness
FrameNreadsZeropointsMag plots Spatial mag deviation Spatial sky 16325A emission deviations (filled: sky, open: star) Spatial sky continuum emission Spatial sky telluric CO2 absorption deviations (filled: H < 10)
0 0
RedGreenBlue
z17.64
znorm Inf
sky -NaN -NaN -Inf
S/N 18.7 32.8 36.0
S/N(c) 0.0 0.0 0.0
SN(E/C) 0.97

IPAIRNAMESHIFTNEWSHIFTS/N NAMESHIFTNEWSHIFTS/N
0 07260059 0.474060 0.00000 18.6482 07260053 0.00000 0.474060 18.4468
1 07260058 0.472713 0.00134701 18.7585 07260057 -0.00273290 0.476793 18.7415
2 07260055 0.471844 0.00221601 18.7329 07260056 0.00131643 0.472744 18.7080
3 07260054 0.471226 0.00283399 18.5955 07260060 0.000368027 0.473692 18.3933