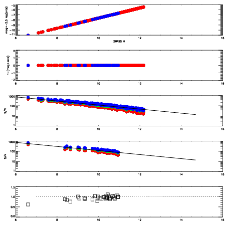
Left plots: red are targets, blue are telluric. Observed mags are calculated from median value of green chip. Zeropoint gives overall throughput: bigger number is more throughput.
First spatial plots: circles are objects, squares are tellurics, crosses are sky fibers. Colors give deviation of observed mag from expected 2MASS mag using the median zeropoint; red is brighter
Second spatial plots: circles are sky fibers. Colors give sky line brightness relative to plate median sky line brightness
FrameNreadsZeropointsMag plots Spatial mag deviation Spatial sky 16325A emission deviations (filled: sky, open: star) Spatial sky continuum emission Spatial sky telluric CO2 absorption deviations (filled: H < 10)
0 0
RedGreenBlue
z17.64
znorm Inf
sky -Inf -Inf -Inf
S/N 24.6 41.8 44.9
S/N(c) 0.0 0.0 0.0
SN(E/C) 0.94

IPAIRNAMESHIFTNEWSHIFTS/N NAMESHIFTNEWSHIFTS/N
0 07870016 0.468794 0.00000 18.9570 07870013 -0.00165802 0.470452 18.9479
1 07870015 0.467932 0.000862002 19.0135 07870014 -0.00382572 0.472620 18.9781
2 07870012 0.466105 0.00268897 18.8794 07870017 -0.000403107 0.469197 18.9087
3 07870011 0.466588 0.00220600 18.8698 07870010 0.00000 0.468794 18.7811