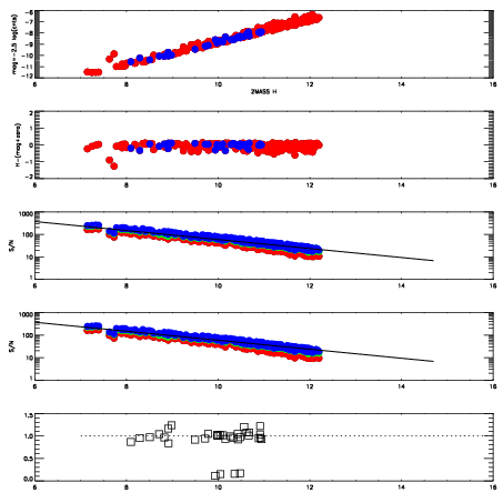
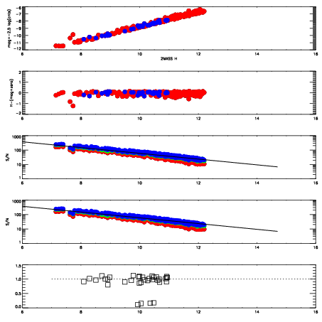
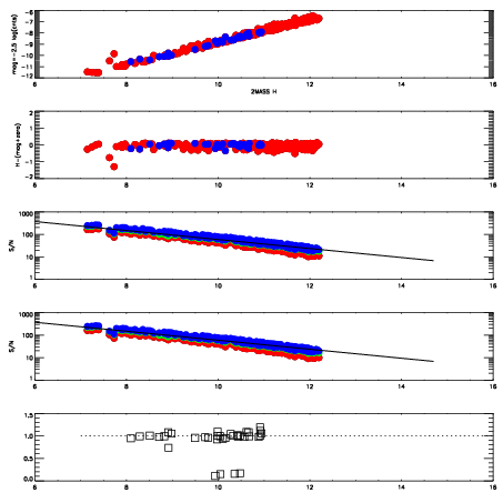
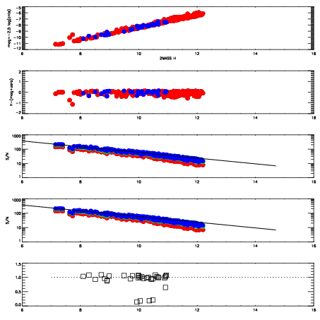
Frame | Nreads | Zeropoints | Mag plots
| Spatial mag deviation
| Spatial sky 16325A emission deviations (filled: sky, open: star)
| Spatial sky continuum emission
| Spatial sky telluric CO2 absorption deviations (filled: H < 10)
|
7850011
| 47
| | Red | Green | Blue
| z | | 18.42
| znorm | | 14.24
| sky | 14.5 | 14.1 | 13.8
| S/N | 10.0 | 16.8 | 16.8
| S/N(c) | 16.1 | 19.6 | 14.8
| SN(E/C) | 0.99
|
|
|
|
|
|
|
7850012
| 47
| | Red | Green | Blue
| z | | 18.52
| znorm | | 14.34
| sky | 14.4 | 14.2 | 14.2
| S/N | 10.5 | 17.7 | 18.0
| S/N(c) | 17.0 | 20.7 | 15.8
| SN(E/C) | 0.97
|
|
|
|
|
|
|
7850013
| 47
| | Red | Green | Blue
| z | | 18.49
| znorm | | 14.31
| sky | 14.6 | 14.3 | 14.2
| S/N | 10.4 | 17.3 | 18.3
| S/N(c) | 16.6 | 20.5 | 15.6
| SN(E/C) | 1.02
|
|
|
|
|
|
|
7850014
| 47
| | Red | Green | Blue
| z | | 18.55
| znorm | | 14.37
| sky | 14.5 | 14.3 | 14.3
| S/N | 10.9 | 18.2 | 18.8
| S/N(c) | 17.3 | 21.2 | 16.2
| SN(E/C) | 0.99
|
|
|
|
|
|
|
7850015
| 47
| | Red | Green | Blue
| z | | 18.84
| znorm | | 14.66
| sky | 14.5 | 14.3 | 14.1
| S/N | 12.9 | 20.8 | 22.2
| S/N(c) | 20.4 | 24.7 | 19.0
| SN(E/C) | 0.97
|
|
|
|
|
|
|
7850016
| 47
| | Red | Green | Blue
| z | | 18.91
| znorm | | 14.73
| sky | 14.4 | 14.1 | 14.0
| S/N | 13.7 | 22.0 | 23.1
| S/N(c) | 21.4 | 25.7 | 19.8
| SN(E/C) | 0.99
|
|
|
|
|
|
|
7850017
| 47
| | Red | Green | Blue
| z | | 18.81
| znorm | | 14.63
| sky | 14.4 | 14.3 | 14.3
| S/N | 12.9 | 20.5 | 22.1
| S/N(c) | 20.1 | 24.3 | 18.9
| SN(E/C) | 0.99
|
|
|
|
|
|
|
7850018
| 47
| | Red | Green | Blue
| z | | 18.86
| znorm | | 14.68
| sky | 14.4 | 14.2 | 14.1
| S/N | 13.1 | 20.9 | 22.5
| S/N(c) | 20.7 | 25.1 | 19.6
| SN(E/C) | 0.99
|
|
|
|
|
|
|