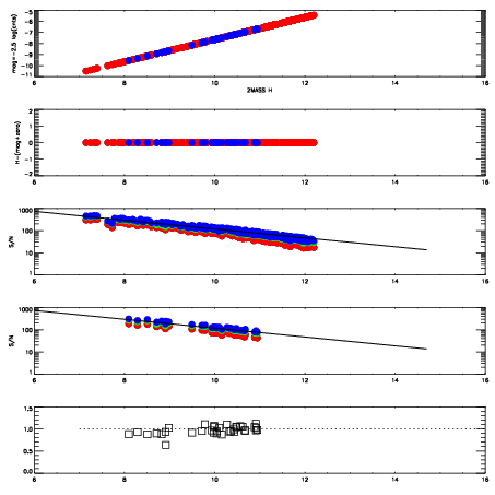
Left plots: red are targets, blue are telluric. Observed mags are calculated from median value of green chip. Zeropoint gives overall throughput: bigger number is more throughput.
First spatial plots: circles are objects, squares are tellurics, crosses are sky fibers. Colors give deviation of observed mag from expected 2MASS mag using the median zeropoint; red is brighter
Second spatial plots: circles are sky fibers. Colors give sky line brightness relative to plate median sky line brightness
FrameNreadsZeropointsMag plots Spatial mag deviation Spatial sky 16325A emission deviations (filled: sky, open: star) Spatial sky continuum emission Spatial sky telluric CO2 absorption deviations (filled: H < 10)
0 0
RedGreenBlue
z17.64
znorm Inf
sky -Inf -Inf -Inf
S/N 21.3 35.5 38.5
S/N(c) 0.0 0.0 0.0
SN(E/C) 0.96

IPAIRNAMESHIFTNEWSHIFTS/N NAMESHIFTNEWSHIFTS/N
0 07850017 0.472586 0.00000 18.7881 07850015 6.75656e-05 0.472518 18.8223
1 07850016 0.471990 0.000596017 18.8985 07850018 0.000721203 0.471865 18.8447
2 07850012 0.472026 0.000560015 18.5129 07850014 0.00160298 0.470983 18.5403
3 07850013 0.471669 0.000917017 18.4802 07850011 0.00000 0.472586 18.4080