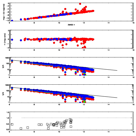
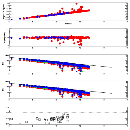
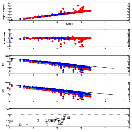
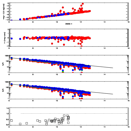
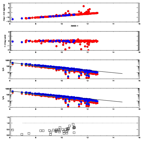
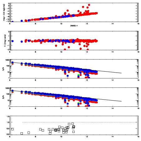
Frame | Nreads | Zeropoints | Mag plots
| Spatial mag deviation
| Spatial sky 16325A emission deviations (filled: sky, open: star)
| Spatial sky continuum emission
| Spatial sky telluric CO2 absorption deviations (filled: H < 10)
|
8700022
| 47
| | Red | Green | Blue
| z | | 18.58
| znorm | | 14.40
| sky | 14.6 | 14.2 | 14.2
| S/N | 11.7 | 19.3 | 19.2
| S/N(c) | 18.5 | 12.0 | 17.5
| SN(E/C) | 0.39
|
|
|
|
|
|
|
8700023
| 47
| | Red | Green | Blue
| z | | 18.56
| znorm | | 14.38
| sky | 14.6 | 14.4 | 14.7
| S/N | 11.1 | 19.0 | 19.6
| S/N(c) | 18.7 | 11.8 | 17.8
| SN(E/C) | 0.40
|
|
|
|
|
|
|
8700024
| 47
| | Red | Green | Blue
| z | | 18.10
| znorm | | 13.92
| sky | 14.6 | 14.4 | 14.7
| S/N | 7.8 | 14.5 | 14.8
| S/N(c) | 14.3 | 9.5 | 14.4
| SN(E/C) | 0.48
|
|
|
|
|
|
|
8700025
| 47
| | Red | Green | Blue
| z | | 18.10
| znorm | | 13.92
| sky | 14.4 | 14.5 | 14.6
| S/N | 7.9 | 14.4 | 14.6
| S/N(c) | 14.3 | 9.6 | 14.4
| SN(E/C) | 0.46
|
|
|
|
|
|
|
8700026
| 47
| | Red | Green | Blue
| z | | 18.38
| znorm | | 14.20
| sky | 14.5 | 14.4 | 14.6
| S/N | 9.8 | 17.4 | 17.6
| S/N(c) | 17.1 | 11.0 | 16.4
| SN(E/C) | 0.42
|
|
|
|
|
|
|
8700027
| 47
| | Red | Green | Blue
| z | | 18.08
| znorm | | 13.90
| sky | 14.6 | 14.6 | 14.7
| S/N | 7.8 | 14.3 | 14.3
| S/N(c) | 14.3 | 9.3 | 14.2
| SN(E/C) | 0.50
|
|
|
|
|
|
|
8700028
| 47
| | Red | Green | Blue
| z | | 18.11
| znorm | | 13.93
| sky | 14.7 | 14.6 | 14.8
| S/N | 8.1 | 14.7 | 14.9
| S/N(c) | 14.6 | 9.5 | 14.5
| SN(E/C) | 0.48
|
|
|
|
|
|
|
8700029
| 47
| | Red | Green | Blue
| z | | 18.39
| znorm | | 14.21
| sky | 14.8 | 14.5 | 14.6
| S/N | 10.1 | 17.7 | 17.7
| S/N(c) | 17.4 | 11.1 | 16.8
| SN(E/C) | 0.42
|
|
|
|
|
|
|