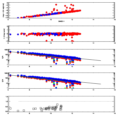
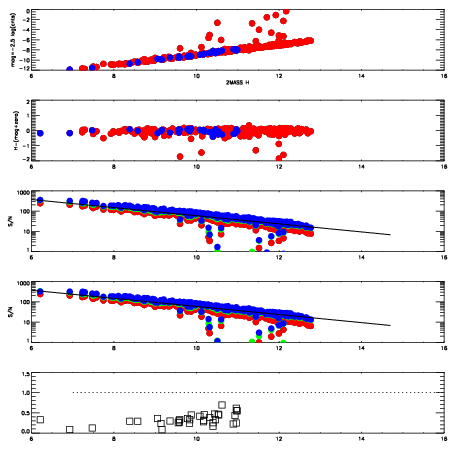
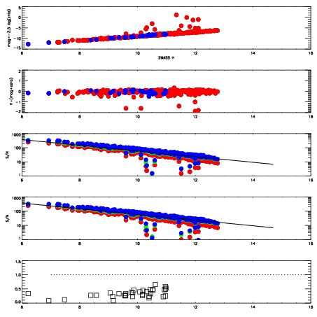
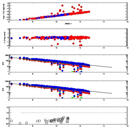
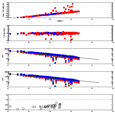
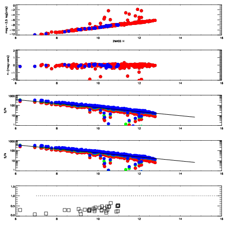
Frame | Nreads | Zeropoints | Mag plots
| Spatial mag deviation
| Spatial sky 16325A emission deviations (filled: sky, open: star)
| Spatial sky continuum emission
| Spatial sky telluric CO2 absorption deviations (filled: H < 10)
|
8760026
| 47
| | Red | Green | Blue
| z | | 18.99
| znorm | | 14.81
| sky | 14.3 | 14.2 | 14.5
| S/N | 14.7 | 23.5 | 25.9
| S/N(c) | 17.3 | 14.6 | 23.2
| SN(E/C) | 0.32
|
|
|
|
|
|
|
8760027
| 47
| | Red | Green | Blue
| z | | 19.02
| znorm | | 14.84
| sky | 14.3 | 14.3 | 14.7
| S/N | 15.1 | 24.5 | 26.0
| S/N(c) | 17.6 | 14.7 | 23.7
| SN(E/C) | 0.31
|
|
|
|
|
|
|
8760028
| 47
| | Red | Green | Blue
| z | | 19.02
| znorm | | 14.84
| sky | 14.4 | 14.3 | 14.6
| S/N | 14.9 | 24.5 | 26.2
| S/N(c) | 17.8 | 14.7 | 23.7
| SN(E/C) | 0.32
|
|
|
|
|
|
|
8760029
| 47
| | Red | Green | Blue
| z | | 19.02
| znorm | | 14.84
| sky | 14.4 | 14.4 | 14.6
| S/N | 14.9 | 25.1 | 25.8
| S/N(c) | 17.4 | 14.7 | 23.9
| SN(E/C) | 0.32
|
|
|
|
|
|
|
8760030
| 47
| | Red | Green | Blue
| z | | 19.00
| znorm | | 14.82
| sky | 14.4 | 14.4 | 14.5
| S/N | 14.8 | 24.4 | 25.7
| S/N(c) | 17.4 | 14.8 | 23.7
| SN(E/C) | 0.33
|
|
|
|
|
|
|
8760031
| 47
| | Red | Green | Blue
| z | | 19.00
| znorm | | 14.82
| sky | 14.5 | 14.3 | 14.6
| S/N | 14.8 | 24.6 | 25.6
| S/N(c) | 17.5 | 14.5 | 23.7
| SN(E/C) | 0.33
|
|
|
|
|
|
|
8760032
| 47
| | Red | Green | Blue
| z | | 19.03
| znorm | | 14.85
| sky | 14.3 | 14.3 | 14.6
| S/N | 15.3 | 24.6 | 26.3
| S/N(c) | 17.8 | 14.9 | 24.0
| SN(E/C) | 0.33
|
|
|
|
|
|
|
8760033
| 47
| | Red | Green | Blue
| z | | 18.97
| znorm | | 14.79
| sky | 14.4 | 14.4 | 14.6
| S/N | 14.6 | 24.0 | 25.4
| S/N(c) | 17.1 | 14.5 | 23.7
| SN(E/C) | 0.33
|
|
|
|
|
|
|