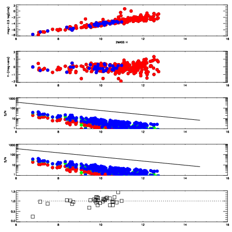
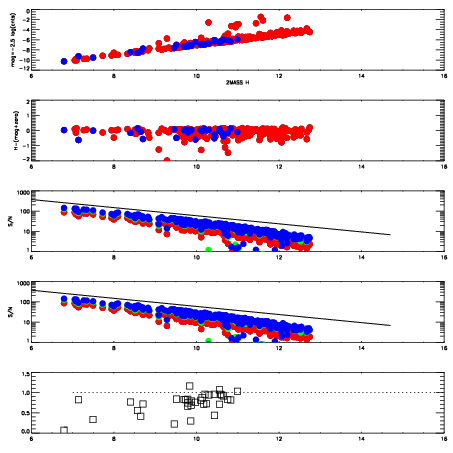
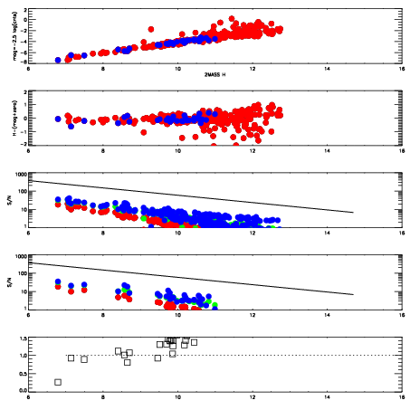
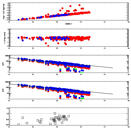
Frame | Nreads | Zeropoints | Mag plots
| Spatial mag deviation
| Spatial sky 16325A emission deviations (filled: sky, open: star)
| Spatial sky continuum emission
| Spatial sky telluric CO2 absorption deviations (filled: H < 10)
|
8780010
| 47
| | Red | Green | Blue
| z | | 18.47
| znorm | | 14.29
| sky | 14.0 | 13.9 | 13.7
| S/N | 8.8 | 15.0 | 15.5
| S/N(c) | 12.2 | 17.9 | 22.7
| SN(E/C) | 0.51
|
|
|
|
|
|
|
8780011
| 47
| | Red | Green | Blue
| z | | 17.84
| znorm | | 13.66
| sky | 14.5 | 14.3 | 14.5
| S/N | 4.5 | 9.5 | 9.8
| S/N(c) | 7.8 | 12.8 | 16.1
| SN(E/C) | 0.61
|
|
|
|
|
|
|
8780012
| 47
| | Red | Green | Blue
| z | | 16.65
| znorm | | 12.47
| sky | 14.5 | 14.6 | 14.9
| S/N | 1.9 | 4.5 | 5.3
| S/N(c) | 3.2 | 6.3 | 7.7
| SN(E/C) | 0.87
|
|
|
|
|
|
|
8780013
| 47
| | Red | Green | Blue
| z | | 17.01
| znorm | | 12.83
| sky | 14.7 | 14.8 | 15.0
| S/N | 2.7 | 5.8 | 6.4
| S/N(c) | 4.2 | 7.9 | 9.7
| SN(E/C) | 0.81
|
|
|
|
|
|
|
8780014
| 47
| | Red | Green | Blue
| z | | 15.47
| znorm | | 11.29
| sky | 14.6 | 14.8 | 15.3
| S/N | 0.8 | 1.9 | 2.0
| S/N(c) | 1.2 | 2.6 | 3.5
| SN(E/C) | 1.01
|
|
|
|
|
|
|
8780015
| 47
| | Red | Green | Blue
| z | | 14.23
| znorm | | 10.05
| sky | 14.5 | 14.9 | 15.5
| S/N | 0.4 | 0.7 | 1.4
| S/N(c) | 0.0 | 0.0 | 0.0
| SN(E/C) | 1.40
|
|
|
|
|
|
|
8780016
| 47
| | Red | Green | Blue
| z | | 14.31
| znorm | | 10.13
| sky | 14.9 | 15.0 | 15.6
| S/N | 0.4 | 0.8 | 1.8
| S/N(c) | 0.4 | 0.9 | 1.8
| SN(E/C) | 1.01
|
|
|
|
|
|
|
8780017
| 47
| | Red | Green | Blue
| z | | 13.30
| znorm | | 9.12
| sky | 14.9 | 15.2 | 15.6
| S/N | -0.0 | 0.4 | 0.6
| S/N(c) | 0.0 | 0.0 | 0.0
| SN(E/C) | 2.05
|
|
|
|
|
|
|