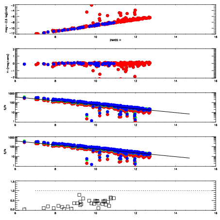
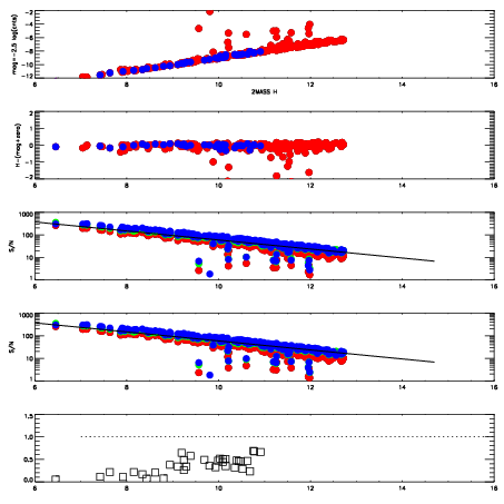
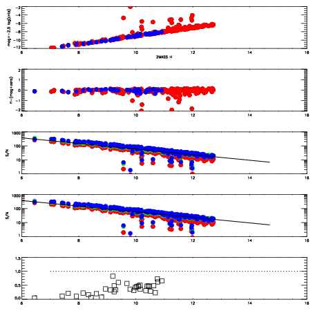
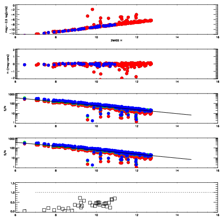
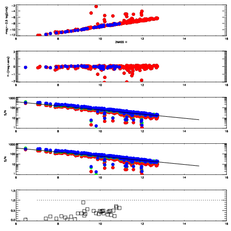
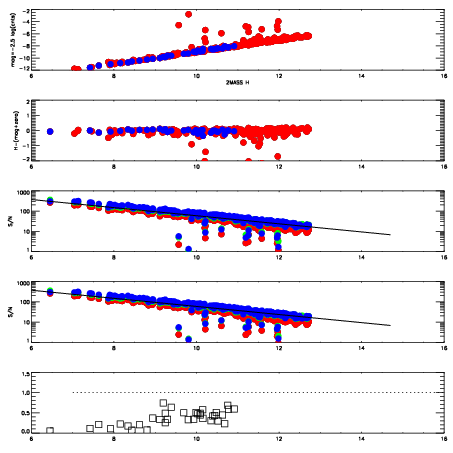
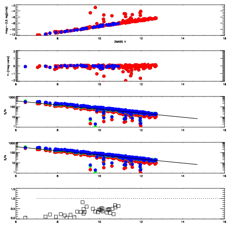
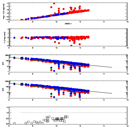
Frame | Nreads | Zeropoints | Mag plots
| Spatial mag deviation
| Spatial sky 16325A emission deviations (filled: sky, open: star)
| Spatial sky continuum emission
| Spatial sky telluric CO2 absorption deviations (filled: H < 10)
|
8700011
| 47
| | Red | Green | Blue
| z | | 19.00
| znorm | | 14.82
| sky | 14.3 | 14.4 | 14.1
| S/N | 15.3 | 25.4 | 25.8
| S/N(c) | 16.8 | 24.2 | 8.5
| SN(E/C) | 0.36
|
|
|
|
|
|
|
8700012
| 47
| | Red | Green | Blue
| z | | 19.02
| znorm | | 14.84
| sky | 14.6 | 14.5 | 14.4
| S/N | 15.5 | 25.5 | 26.2
| S/N(c) | 16.7 | 24.4 | 8.8
| SN(E/C) | 0.35
|
|
|
|
|
|
|
8700013
| 47
| | Red | Green | Blue
| z | | 19.04
| znorm | | 14.86
| sky | 14.4 | 14.5 | 14.4
| S/N | 15.4 | 25.6 | 26.4
| S/N(c) | 16.8 | 24.7 | 8.8
| SN(E/C) | 0.37
|
|
|
|
|
|
|
8700014
| 47
| | Red | Green | Blue
| z | | 19.01
| znorm | | 14.83
| sky | 14.4 | 14.5 | 14.5
| S/N | 15.2 | 25.2 | 25.9
| S/N(c) | 16.4 | 24.2 | 8.7
| SN(E/C) | 0.36
|
|
|
|
|
|
|
8700015
| 47
| | Red | Green | Blue
| z | | 19.07
| znorm | | 14.89
| sky | 14.7 | 14.5 | 14.4
| S/N | 15.7 | 25.8 | 26.6
| S/N(c) | 17.1 | 24.8 | 9.0
| SN(E/C) | 0.35
|
|
|
|
|
|
|
8700016
| 47
| | Red | Green | Blue
| z | | 19.05
| znorm | | 14.87
| sky | 14.5 | 14.5 | 14.4
| S/N | 15.1 | 25.5 | 26.3
| S/N(c) | 16.5 | 24.5 | 9.0
| SN(E/C) | 0.37
|
|
|
|
|
|
|
8700017
| 47
| | Red | Green | Blue
| z | | 19.05
| znorm | | 14.87
| sky | 14.5 | 14.4 | 14.4
| S/N | 15.1 | 25.1 | 26.3
| S/N(c) | 16.5 | 24.4 | 8.9
| SN(E/C) | 0.36
|
|
|
|
|
|
|
8700018
| 47
| | Red | Green | Blue
| z | | 19.03
| znorm | | 14.85
| sky | 14.5 | 14.5 | 14.4
| S/N | 15.0 | 25.0 | 25.8
| S/N(c) | 16.3 | 24.2 | 8.9
| SN(E/C) | 0.36
|
|
|
|
|
|
|