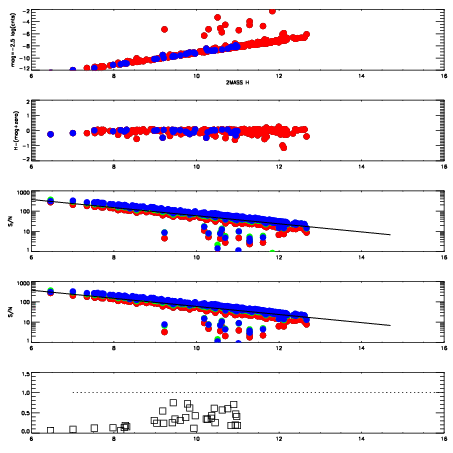
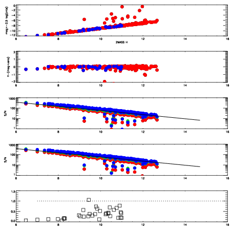
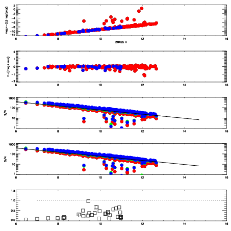
Frame | Nreads | Zeropoints | Mag plots
| Spatial mag deviation
| Spatial sky 16325A emission deviations (filled: sky, open: star)
| Spatial sky continuum emission
| Spatial sky telluric CO2 absorption deviations (filled: H < 10)
|
8160010
| 47
| | Red | Green | Blue
| z | | 19.15
| znorm | | 14.97
| sky | 14.5 | 14.2 | 14.0
| S/N | 16.2 | 24.6 | 26.6
| S/N(c) | 22.4 | 8.4 | 5.2
| SN(E/C) | 0.31
|
|
|
|
|
|
|
8160011
| 47
| | Red | Green | Blue
| z | | 19.17
| znorm | | 14.99
| sky | 14.4 | 14.3 | 14.4
| S/N | 16.1 | 24.4 | 26.4
| S/N(c) | 22.3 | 8.5 | 5.3
| SN(E/C) | 0.27
|
|
|
|
|
|
|
8160012
| 47
| | Red | Green | Blue
| z | | 19.17
| znorm | | 14.99
| sky | 14.4 | 14.4 | 14.5
| S/N | 15.7 | 24.2 | 25.8
| S/N(c) | 22.1 | 8.5 | 5.2
| SN(E/C) | 0.32
|
|
|
|
|
|
|
8160013
| 47
| | Red | Green | Blue
| z | | 19.16
| znorm | | 14.98
| sky | 14.4 | 14.4 | 14.4
| S/N | 15.8 | 23.9 | 25.7
| S/N(c) | 21.9 | 8.4 | 5.2
| SN(E/C) | 0.29
|
|
|
|
|
|
|
8160014
| 47
| | Red | Green | Blue
| z | | 19.15
| znorm | | 14.97
| sky | 14.4 | 14.4 | 14.4
| S/N | 15.3 | 23.8 | 25.4
| S/N(c) | 21.8 | 8.5 | 5.3
| SN(E/C) | 0.29
|
|
|
|
|
|
|
8160015
| 47
| | Red | Green | Blue
| z | | 19.11
| znorm | | 14.93
| sky | 14.5 | 14.4 | 14.4
| S/N | 14.9 | 22.8 | 24.2
| S/N(c) | 21.2 | 8.3 | 5.2
| SN(E/C) | 0.33
|
|
|
|
|
|
|
8160016
| 47
| | Red | Green | Blue
| z | | 19.09
| znorm | | 14.91
| sky | 14.4 | 14.4 | 14.4
| S/N | 14.6 | 23.0 | 23.9
| S/N(c) | 20.9 | 8.2 | 5.2
| SN(E/C) | 0.32
|
|
|
|
|
|
|
8160017
| 47
| | Red | Green | Blue
| z | | 19.09
| znorm | | 14.91
| sky | 14.5 | 14.4 | 14.4
| S/N | 14.5 | 23.1 | 24.1
| S/N(c) | 20.9 | 8.2 | 5.2
| SN(E/C) | 0.31
|
|
|
|
|
|
|