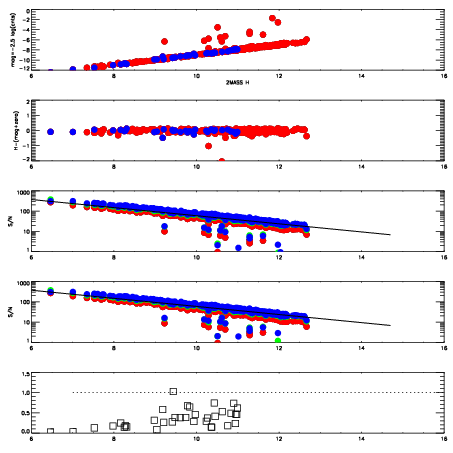
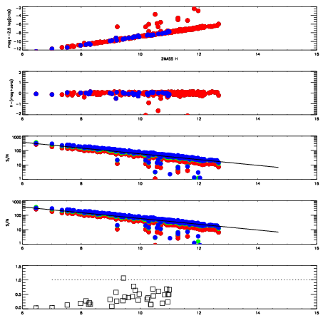
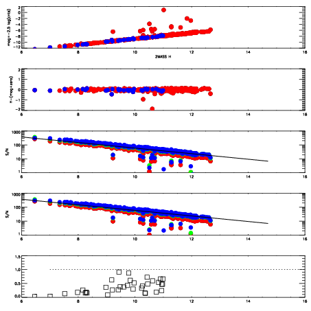
Frame | Nreads | Zeropoints | Mag plots
| Spatial mag deviation
| Spatial sky 16325A emission deviations (filled: sky, open: star)
| Spatial sky continuum emission
| Spatial sky telluric CO2 absorption deviations (filled: H < 10)
|
8400011
| 47
| | Red | Green | Blue
| z | | 18.87
| znorm | | 14.68
| sky | 14.2 | 14.1 | 13.8
| S/N | 13.4 | 21.6 | 21.9
| S/N(c) | 13.2 | 7.3 | 4.5
| SN(E/C) | 0.36
|
|
|
|
|
|
|
8400012
| 47
| | Red | Green | Blue
| z | | 18.96
| znorm | | 14.78
| sky | 14.4 | 14.2 | 14.1
| S/N | 13.9 | 22.2 | 23.0
| S/N(c) | 13.8 | 7.5 | 4.7
| SN(E/C) | 0.32
|
|
|
|
|
|
|
8400013
| 47
| | Red | Green | Blue
| z | | 18.78
| znorm | | 14.60
| sky | 14.3 | 14.3 | 14.3
| S/N | 12.2 | 20.2 | 20.7
| S/N(c) | 12.2 | 6.9 | 4.3
| SN(E/C) | 0.36
|
|
|
|
|
|
|
8400014
| 47
| | Red | Green | Blue
| z | | 18.73
| znorm | | 14.55
| sky | 14.5 | 14.4 | 14.3
| S/N | 11.8 | 19.9 | 20.5
| S/N(c) | 12.0 | 6.7 | 4.2
| SN(E/C) | 0.35
|
|
|
|
|
|
|
8400015
| 47
| | Red | Green | Blue
| z | | 18.69
| znorm | | 14.51
| sky | 14.6 | 14.5 | 14.5
| S/N | 11.4 | 19.3 | 20.1
| S/N(c) | 11.6 | 6.6 | 4.2
| SN(E/C) | 0.37
|
|
|
|
|
|
|
8400016
| 47
| | Red | Green | Blue
| z | | 18.59
| znorm | | 14.41
| sky | 14.9 | 14.6 | 14.5
| S/N | 10.6 | 18.3 | 19.0
| S/N(c) | 10.7 | 6.2 | 3.9
| SN(E/C) | 0.40
|
|
|
|
|
|
|
8400017
| 47
| | Red | Green | Blue
| z | | 18.67
| znorm | | 14.49
| sky | 14.9 | 14.5 | 14.5
| S/N | 11.1 | 19.1 | 19.6
| S/N(c) | 11.3 | 6.6 | 4.1
| SN(E/C) | 0.31
|
|
|
|
|
|
|
8400018
| 47
| | Red | Green | Blue
| z | | 18.88
| znorm | | 14.70
| sky | 14.6 | 14.6 | 14.6
| S/N | 12.8 | 21.8 | 22.8
| S/N(c) | 12.9 | 7.4 | 4.6
| SN(E/C) | 0.33
|
|
|
|
|
|
|