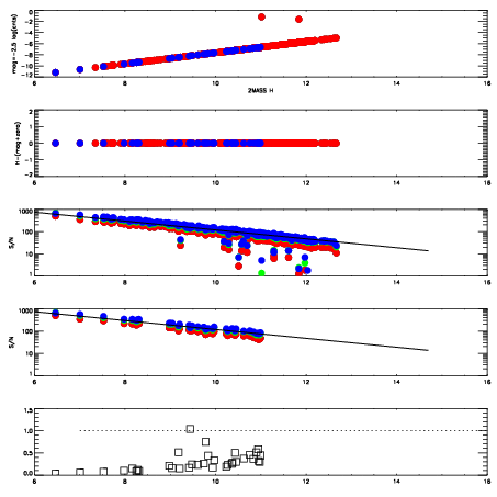
Left plots: red are targets, blue are telluric. Observed mags are calculated from median value of green chip. Zeropoint gives overall throughput: bigger number is more throughput.
First spatial plots: circles are objects, squares are tellurics, crosses are sky fibers. Colors give deviation of observed mag from expected 2MASS mag using the median zeropoint; red is brighter
Second spatial plots: circles are sky fibers. Colors give sky line brightness relative to plate median sky line brightness
FrameNreadsZeropointsMag plots Spatial mag deviation Spatial sky 16325A emission deviations (filled: sky, open: star) Spatial sky continuum emission Spatial sky telluric CO2 absorption deviations (filled: H < 10)
0 0
RedGreenBlue
z17.64
znorm Inf
sky -NaN -NaN -Inf
S/N 20.9 36.5 38.8
S/N(c) 0.0 0.0 0.0
SN(E/C) 0.26

IPAIRNAMESHIFTNEWSHIFTS/N NAMESHIFTNEWSHIFTS/N
0 08400013 0.507757 0.00000 18.7715 08400011 0.00000 0.507757 18.8499
1 08400012 0.506834 0.000923038 18.9516 08400018 0.00132610 0.506431 18.8674
2 08400017 0.505073 0.00268400 18.6549 08400014 0.00223459 0.505522 18.7216
3 08400016 0.504961 0.00279599 18.5738 08400015 0.000522013 0.507235 18.6886