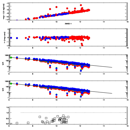
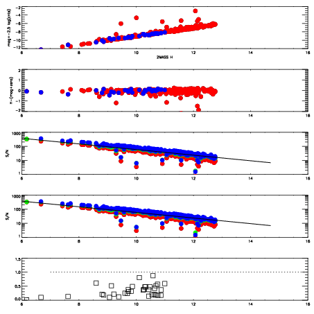
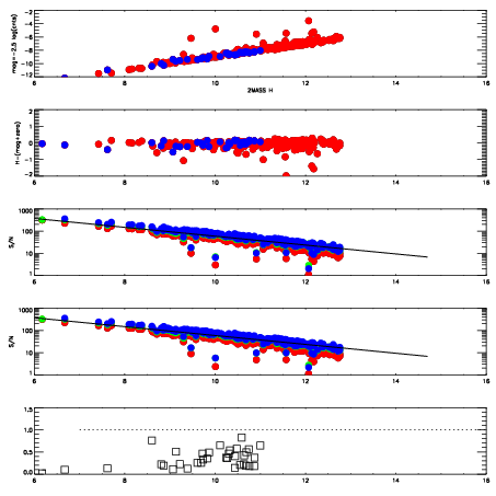
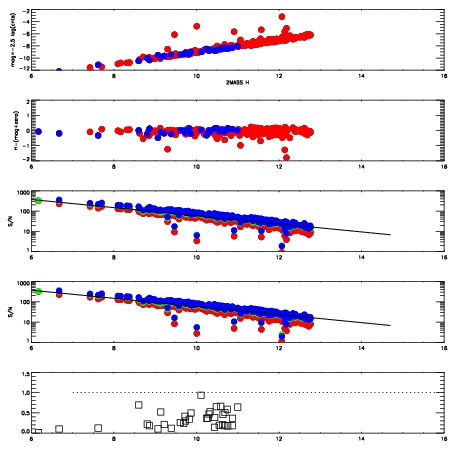
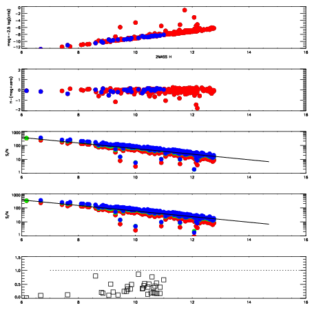
Frame | Nreads | Zeropoints | Mag plots
| Spatial mag deviation
| Spatial sky 16325A emission deviations (filled: sky, open: star)
| Spatial sky continuum emission
| Spatial sky telluric CO2 absorption deviations (filled: H < 10)
|
7920033
| 47
| | Red | Green | Blue
| z | | 18.92
| znorm | | 14.74
| sky | 14.7 | 14.6 | 14.4
| S/N | 14.3 | 23.2 | 22.8
| S/N(c) | 12.6 | 10.6 | 11.0
| SN(E/C) | 0.35
|
|
|
|
|
|
|
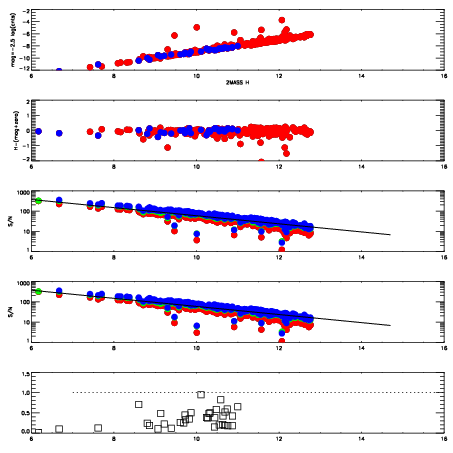
7920034
| 47
| | Red | Green | Blue
| z | | 18.99
| znorm | | 14.81
| sky | 14.7 | 14.8 | 14.8
| S/N | 14.2 | 23.9 | 23.5
| S/N(c) | 12.7 | 10.9 | 11.3
| SN(E/C) | 0.35
|
|
|
|
|
|
|
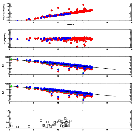
7920035
| 47
| | Red | Green | Blue
| z | | 19.05
| znorm | | 14.87
| sky | 14.9 | 14.7 | 14.8
| S/N | 14.7 | 24.4 | 24.5
| S/N(c) | 13.2 | 11.2 | 11.6
| SN(E/C) | 0.34
|
|
|
|
|
|
|
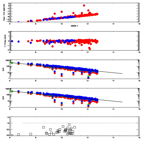
7920036
| 47
| | Red | Green | Blue
| z | | 19.09
| znorm | | 14.91
| sky | 15.1 | 15.0 | 14.9
| S/N | 15.1 | 24.7 | 25.2
| S/N(c) | 13.4 | 11.5 | 11.9
| SN(E/C) | 0.33
|
|
|
|
|
|
|
7920037
| 47
| | Red | Green | Blue
| z | | 19.08
| znorm | | 14.90
| sky | 15.0 | 14.9 | 15.0
| S/N | 14.9 | 24.4 | 25.3
| S/N(c) | 13.3 | 11.3 | 11.8
| SN(E/C) | 0.33
|
|
|
|
|
|
|
7920038
| 47
| | Red | Green | Blue
| z | | 19.08
| znorm | | 14.90
| sky | 15.0 | 14.9 | 15.1
| S/N | 14.7 | 24.5 | 25.3
| S/N(c) | 13.3 | 11.4 | 11.9
| SN(E/C) | 0.32
|
|
|
|
|
|
|
7920039
| 47
| | Red | Green | Blue
| z | | 19.06
| znorm | | 14.88
| sky | 15.1 | 14.9 | 15.0
| S/N | 14.6 | 24.0 | 25.3
| S/N(c) | 13.1 | 11.3 | 11.7
| SN(E/C) | 0.34
|
|
|
|
|
|
|
7920040
| 47
| | Red | Green | Blue
| z | | 19.00
| znorm | | 14.82
| sky | 15.0 | 15.1 | 15.0
| S/N | 14.0 | 23.5 | 24.9
| S/N(c) | 12.9 | 11.0 | 11.4
| SN(E/C) | 0.34
|
|
|
|
|
|
|