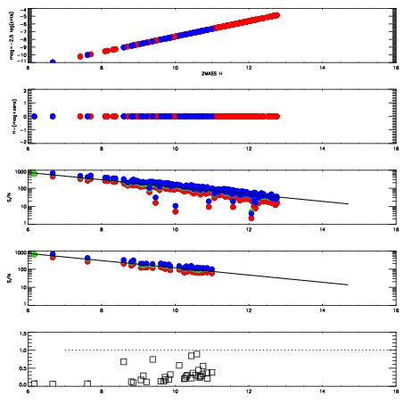
Left plots: red are targets, blue are telluric. Observed mags are calculated from median value of green chip. Zeropoint gives overall throughput: bigger number is more throughput.
First spatial plots: circles are objects, squares are tellurics, crosses are sky fibers. Colors give deviation of observed mag from expected 2MASS mag using the median zeropoint; red is brighter
Second spatial plots: circles are sky fibers. Colors give sky line brightness relative to plate median sky line brightness
FrameNreadsZeropointsMag plots Spatial mag deviation Spatial sky 16325A emission deviations (filled: sky, open: star) Spatial sky continuum emission Spatial sky telluric CO2 absorption deviations (filled: H < 10)
0 0
RedGreenBlue
z17.64
znorm Inf
sky -NaN -Inf -Inf
S/N 26.5 44.9 46.7
S/N(c) 0.0 0.0 0.0
SN(E/C) 0.25

IPAIRNAMESHIFTNEWSHIFTS/N NAMESHIFTNEWSHIFTS/N
0 07920039 0.493682 0.00000 19.0496 07920037 -0.00206342 0.495745 19.0618
1 07920038 0.493622 5.99921e-05 19.0652 07920036 -0.000724099 0.494406 19.0738
2 07920035 0.493433 0.000248998 19.0254 07920040 -0.00155466 0.495237 18.9907
3 07920034 0.492238 0.00144401 18.9606 07920033 0.00000 0.493682 18.9026