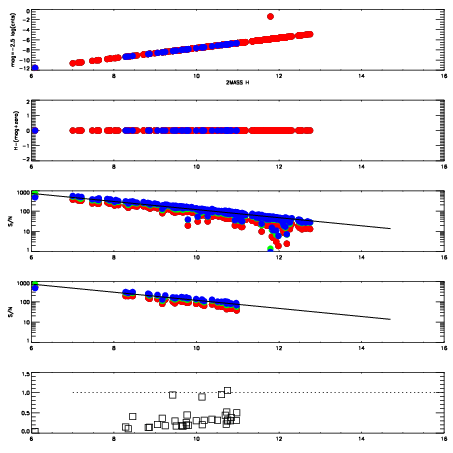
Left plots: red are targets, blue are telluric. Observed mags are calculated from median value of green chip. Zeropoint gives overall throughput: bigger number is more throughput.
First spatial plots: circles are objects, squares are tellurics, crosses are sky fibers. Colors give deviation of observed mag from expected 2MASS mag using the median zeropoint; red is brighter
Second spatial plots: circles are sky fibers. Colors give sky line brightness relative to plate median sky line brightness
FrameNreadsZeropointsMag plots Spatial mag deviation Spatial sky 16325A emission deviations (filled: sky, open: star) Spatial sky continuum emission Spatial sky telluric CO2 absorption deviations (filled: H < 10)
0 0
RedGreenBlue
z17.64
znorm Inf
sky -Inf -Inf -Inf
S/N 21.0 38.2 40.5
S/N(c) 0.0 0.0 0.0
SN(E/C) 0.30

IPAIRNAMESHIFTNEWSHIFTS/N NAMESHIFTNEWSHIFTS/N
0 07830066 0.475816 0.00000 18.7795 07830067 0.00314573 0.472670 18.7346
1 07830065 0.474970 0.000845999 18.7875 07830064 0.00212669 0.473689 18.7615
2 07830062 0.475603 0.000212997 18.6944 07830063 0.00170909 0.474107 18.5999
3 07830061 0.474365 0.00145102 18.5826 07830060 0.00000 0.475816 18.5236