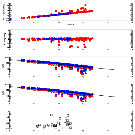
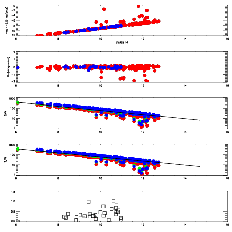
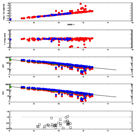
Frame | Nreads | Zeropoints | Mag plots
| Spatial mag deviation
| Spatial sky 16325A emission deviations (filled: sky, open: star)
| Spatial sky continuum emission
| Spatial sky telluric CO2 absorption deviations (filled: H < 10)
|
7910023
| 47
| | Red | Green | Blue
| z | | 18.99
| znorm | | 14.81
| sky | 15.1 | 14.7 | 14.7
| S/N | 13.2 | 22.3 | 23.7
| S/N(c) | 14.4 | 21.4 | 8.0
| SN(E/C) | 0.37
|
|
|
|
|
|
|
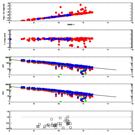
7910024
| 47
| | Red | Green | Blue
| z | | 19.00
| znorm | | 14.82
| sky | 15.0 | 14.9 | 15.0
| S/N | 13.4 | 22.8 | 24.1
| S/N(c) | 14.4 | 21.6 | 8.1
| SN(E/C) | 0.39
|
|
|
|
|
|
|
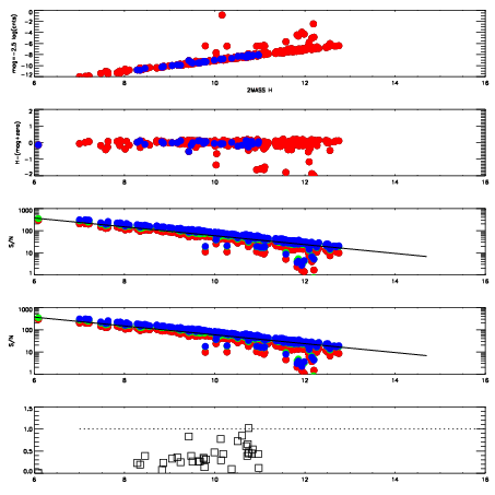
7910025
| 47
| | Red | Green | Blue
| z | | 19.02
| znorm | | 14.84
| sky | 15.3 | 14.9 | 15.1
| S/N | 13.8 | 23.3 | 24.8
| S/N(c) | 14.7 | 22.0 | 8.2
| SN(E/C) | 0.35
|
|
|
|
|
|
|
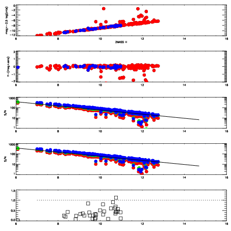
7910026
| 47
| | Red | Green | Blue
| z | | 18.99
| znorm | | 14.81
| sky | 15.1 | 14.8 | 15.1
| S/N | 13.4 | 22.9 | 24.4
| S/N(c) | 14.3 | 21.7 | 8.2
| SN(E/C) | 0.35
|
|
|
|
|
|
|
7910027
| 47
| | Red | Green | Blue
| z | | 19.03
| znorm | | 14.85
| sky | 15.2 | 14.8 | 15.1
| S/N | 13.9 | 23.1 | 24.6
| S/N(c) | 14.7 | 22.1 | 8.4
| SN(E/C) | 0.37
|
|
|
|
|
|
|
7910028
| 47
| | Red | Green | Blue
| z | | 19.05
| znorm | | 14.86
| sky | 15.2 | 14.9 | 15.1
| S/N | 14.2 | 23.2 | 25.0
| S/N(c) | 14.9 | 22.3 | 8.5
| SN(E/C) | 0.36
|
|
|
|
|
|
|
7910029
| 47
| | Red | Green | Blue
| z | | 19.08
| znorm | | 14.90
| sky | 15.0 | 14.9 | 15.1
| S/N | 14.2 | 23.7 | 25.2
| S/N(c) | 15.2 | 22.7 | 8.6
| SN(E/C) | 0.37
|
|
|
|
|
|
|
7910030
| 47
| | Red | Green | Blue
| z | | 19.06
| znorm | | 14.88
| sky | 14.9 | 14.9 | 15.1
| S/N | 14.3 | 23.4 | 24.9
| S/N(c) | 14.9 | 22.3 | 8.5
| SN(E/C) | 0.36
|
|
|
|
|
|
|