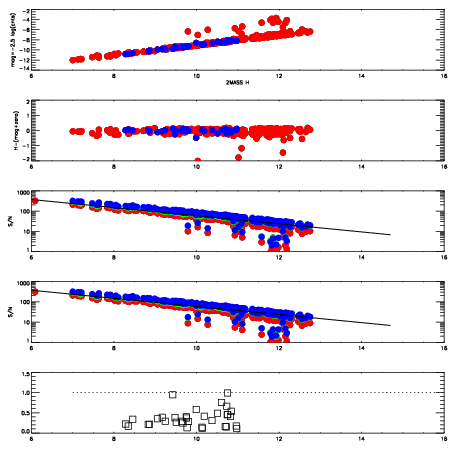
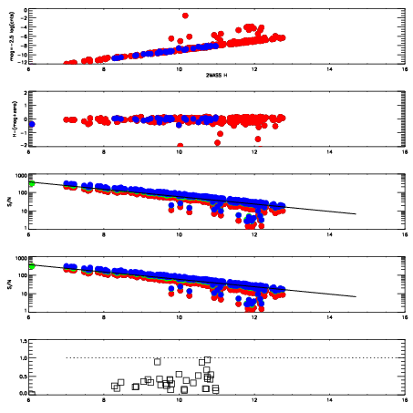
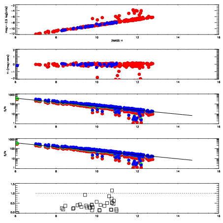
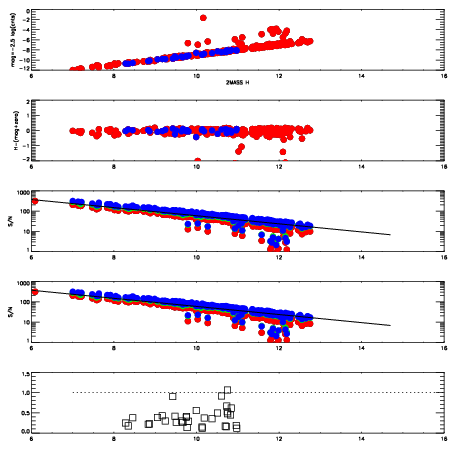
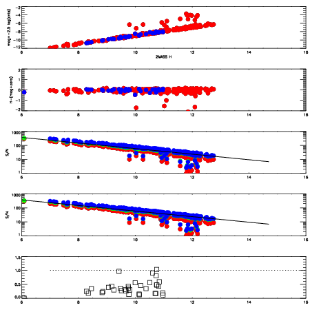
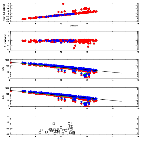
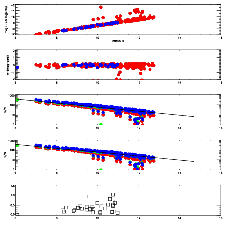
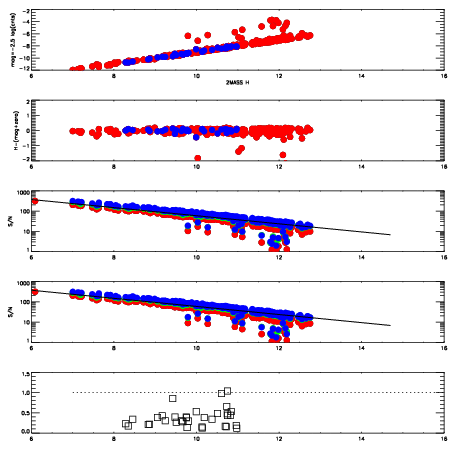
Frame | Nreads | Zeropoints | Mag plots
| Spatial mag deviation
| Spatial sky 16325A emission deviations (filled: sky, open: star)
| Spatial sky continuum emission
| Spatial sky telluric CO2 absorption deviations (filled: H < 10)
|
8400026
| 47
| | Red | Green | Blue
| z | | 18.94
| znorm | | 14.76
| sky | 14.7 | 14.4 | 14.3
| S/N | 13.8 | 22.7 | 23.1
| S/N(c) | 24.2 | 20.4 | 5.5
| SN(E/C) | 0.33
|
|
|
|
|
|
|
8400027
| 47
| | Red | Green | Blue
| z | | 19.03
| znorm | | 14.85
| sky | 14.9 | 14.5 | 14.7
| S/N | 14.4 | 23.9 | 24.8
| S/N(c) | 25.8 | 21.1 | 5.9
| SN(E/C) | 0.33
|
|
|
|
|
|
|
8400028
| 47
| | Red | Green | Blue
| z | | 19.00
| znorm | | 14.82
| sky | 14.7 | 14.6 | 14.7
| S/N | 13.9 | 23.2 | 24.3
| S/N(c) | 24.8 | 20.7 | 5.7
| SN(E/C) | 0.37
|
|
|
|
|
|
|
8400029
| 47
| | Red | Green | Blue
| z | | 19.00
| znorm | | 14.82
| sky | 14.9 | 14.6 | 14.6
| S/N | 13.8 | 23.1 | 24.7
| S/N(c) | 25.0 | 20.9 | 5.8
| SN(E/C) | 0.34
|
|
|
|
|
|
|
8400030
| 47
| | Red | Green | Blue
| z | | 19.07
| znorm | | 14.89
| sky | 14.9 | 14.7 | 14.6
| S/N | 14.5 | 24.2 | 25.5
| S/N(c) | 26.7 | 21.6 | 6.0
| SN(E/C) | 0.31
|
|
|
|
|
|
|
8400031
| 47
| | Red | Green | Blue
| z | | 19.01
| znorm | | 14.83
| sky | 15.0 | 14.7 | 14.7
| S/N | 14.3 | 23.2 | 24.3
| S/N(c) | 25.7 | 21.1 | 5.8
| SN(E/C) | 0.33
|
|
|
|
|
|
|
8400032
| 47
| | Red | Green | Blue
| z | | 18.89
| znorm | | 14.71
| sky | 14.8 | 14.6 | 14.9
| S/N | 13.0 | 21.8 | 23.1
| S/N(c) | 23.8 | 20.0 | 5.5
| SN(E/C) | 0.37
|
|
|
|
|
|
|
8400033
| 47
| | Red | Green | Blue
| z | | 18.96
| znorm | | 14.78
| sky | 14.9 | 14.8 | 14.7
| S/N | 13.2 | 22.6 | 23.6
| S/N(c) | 24.2 | 20.6 | 5.6
| SN(E/C) | 0.35
|
|
|
|
|
|
|