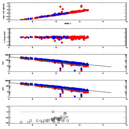
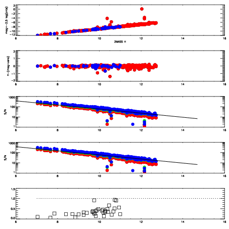
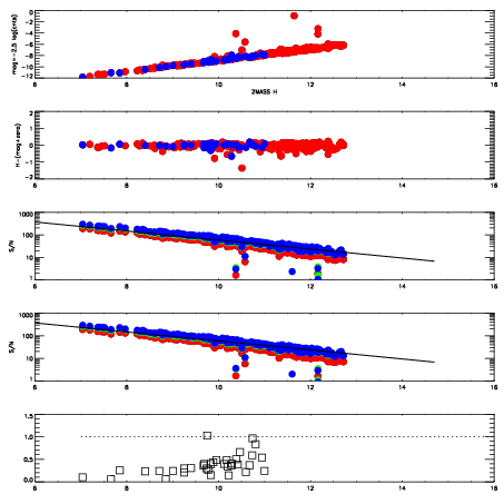
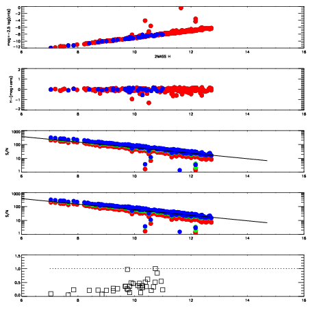
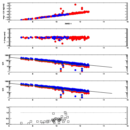
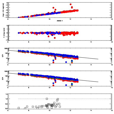
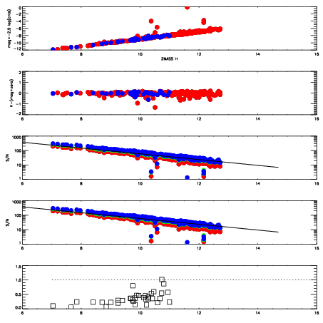
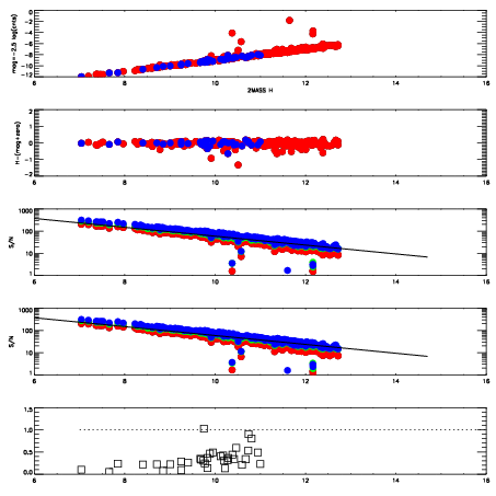
Frame | Nreads | Zeropoints | Mag plots
| Spatial mag deviation
| Spatial sky 16325A emission deviations (filled: sky, open: star)
| Spatial sky continuum emission
| Spatial sky telluric CO2 absorption deviations (filled: H < 10)
|
8400037
| 47
| | Red | Green | Blue
| z | | 18.86
| znorm | | 14.68
| sky | 14.8 | 14.3 | 14.2
| S/N | 14.4 | 23.2 | 23.7
| S/N(c) | 16.1 | 17.1 | 21.4
| SN(E/C) | 0.36
|
|
|
|
|
|
|
8400038
| 47
| | Red | Green | Blue
| z | | 18.97
| znorm | | 14.79
| sky | 14.9 | 14.5 | 14.7
| S/N | 15.1 | 24.2 | 25.8
| S/N(c) | 17.1 | 17.9 | 22.7
| SN(E/C) | 0.36
|
|
|
|
|
|
|
8400039
| 47
| | Red | Green | Blue
| z | | 19.00
| znorm | | 14.82
| sky | 14.9 | 14.6 | 14.8
| S/N | 15.1 | 25.0 | 26.2
| S/N(c) | 17.3 | 18.1 | 23.0
| SN(E/C) | 0.33
|
|
|
|
|
|
|
8400040
| 47
| | Red | Green | Blue
| z | | 19.05
| znorm | | 14.87
| sky | 14.7 | 14.6 | 14.8
| S/N | 16.0 | 25.5 | 27.1
| S/N(c) | 17.9 | 18.9 | 23.9
| SN(E/C) | 0.32
|
|
|
|
|
|
|
8400041
| 47
| | Red | Green | Blue
| z | | 18.97
| znorm | | 14.79
| sky | 15.0 | 14.8 | 14.7
| S/N | 15.5 | 24.5 | 26.1
| S/N(c) | 17.1 | 18.0 | 22.8
| SN(E/C) | 0.35
|
|
|
|
|
|
|
8400042
| 47
| | Red | Green | Blue
| z | | 19.03
| znorm | | 14.85
| sky | 14.7 | 14.8 | 14.8
| S/N | 15.8 | 25.5 | 27.4
| S/N(c) | 17.7 | 18.5 | 23.6
| SN(E/C) | 0.32
|
|
|
|
|
|
|
8400043
| 47
| | Red | Green | Blue
| z | | 19.04
| znorm | | 14.86
| sky | 14.8 | 14.7 | 14.9
| S/N | 16.1 | 25.7 | 27.5
| S/N(c) | 17.9 | 18.6 | 23.8
| SN(E/C) | 0.32
|
|
|
|
|
|
|
8400044
| 47
| | Red | Green | Blue
| z | | 19.02
| znorm | | 14.84
| sky | 14.7 | 14.7 | 14.8
| S/N | 15.9 | 25.3 | 27.4
| S/N(c) | 17.8 | 18.5 | 23.6
| SN(E/C) | 0.34
|
|
|
|
|
|
|