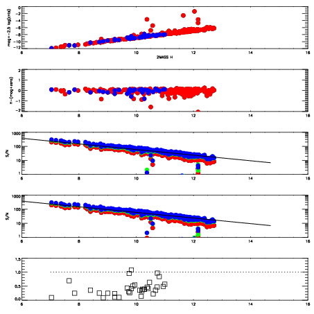
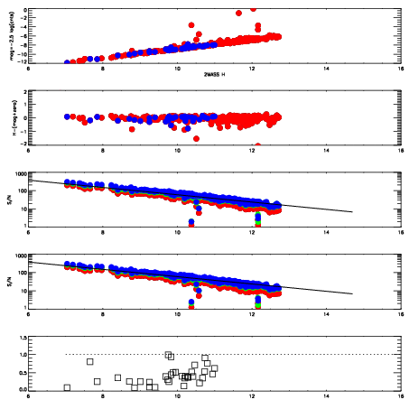
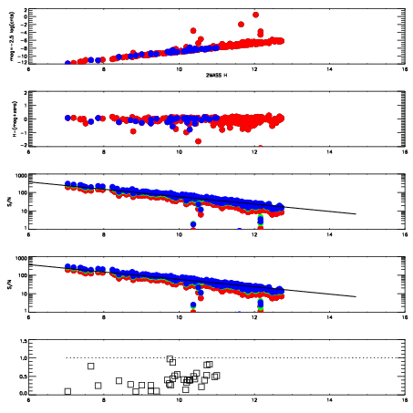
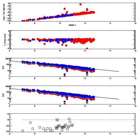
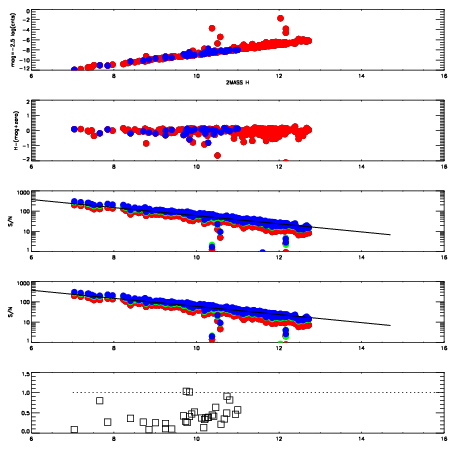
Frame | Nreads | Zeropoints | Mag plots
| Spatial mag deviation
| Spatial sky 16325A emission deviations (filled: sky, open: star)
| Spatial sky continuum emission
| Spatial sky telluric CO2 absorption deviations (filled: H < 10)
|
8440010
| 47
| | Red | Green | Blue
| z | | 18.78
| znorm | | 14.60
| sky | 13.6 | 13.5 | 13.4
| S/N | 12.4 | 20.1 | 20.0
| S/N(c) | 14.9 | 15.3 | 18.9
| SN(E/C) | 0.39
|
|
|
|
|
|
|
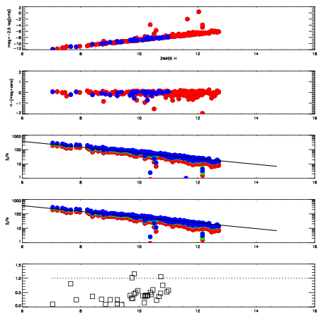
8440011
| 47
| | Red | Green | Blue
| z | | 18.85
| znorm | | 14.67
| sky | 13.7 | 13.6 | 13.6
| S/N | 12.2 | 20.4 | 20.5
| S/N(c) | 15.2 | 15.5 | 19.5
| SN(E/C) | 0.40
|
|
|
|
|
|
|
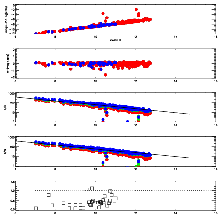
8440012
| 47
| | Red | Green | Blue
| z | | 18.82
| znorm | | 14.64
| sky | 13.6 | 13.6 | 13.5
| S/N | 12.0 | 19.7 | 20.4
| S/N(c) | 15.0 | 15.2 | 19.1
| SN(E/C) | 0.39
|
|
|
|
|
|
|
8440013
| 47
| | Red | Green | Blue
| z | | 18.82
| znorm | | 14.64
| sky | 13.7 | 13.7 | 13.7
| S/N | 11.8 | 19.9 | 20.8
| S/N(c) | 14.9 | 15.3 | 19.2
| SN(E/C) | 0.40
|
|
|
|
|
|
|
8440014
| 47
| | Red | Green | Blue
| z | | 18.85
| znorm | | 14.67
| sky | 13.8 | 13.7 | 13.6
| S/N | 12.3 | 20.2 | 21.0
| S/N(c) | 15.0 | 15.7 | 19.7
| SN(E/C) | 0.40
|
|
|
|
|
|
|
8440015
| 47
| | Red | Green | Blue
| z | | 18.87
| znorm | | 14.69
| sky | 13.7 | 13.7 | 13.6
| S/N | 12.1 | 20.5 | 21.6
| S/N(c) | 15.3 | 15.9 | 19.9
| SN(E/C) | 0.38
|
|
|
|
|
|
|
8440016
| 47
| | Red | Green | Blue
| z | | 18.87
| znorm | | 14.69
| sky | 13.7 | 13.7 | 13.6
| S/N | 12.4 | 20.8 | 21.8
| S/N(c) | 15.3 | 15.9 | 19.9
| SN(E/C) | 0.39
|
|
|
|
|
|
|
8440017
| 47
| | Red | Green | Blue
| z | | 18.82
| znorm | | 14.63
| sky | 13.7 | 13.7 | 13.6
| S/N | 12.1 | 20.1 | 21.0
| S/N(c) | 15.0 | 15.5 | 19.5
| SN(E/C) | 0.40
|
|
|
|
|
|
|