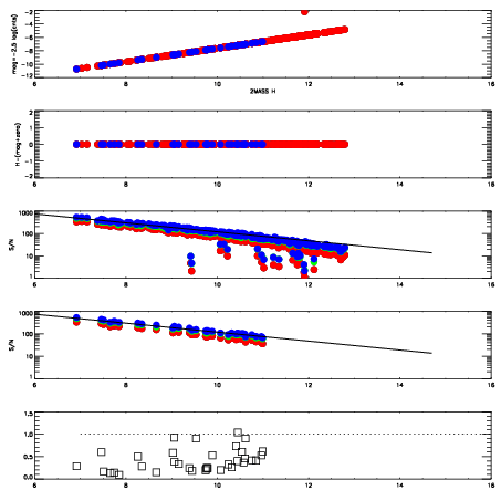
Left plots: red are targets, blue are telluric. Observed mags are calculated from median value of green chip. Zeropoint gives overall throughput: bigger number is more throughput.
First spatial plots: circles are objects, squares are tellurics, crosses are sky fibers. Colors give deviation of observed mag from expected 2MASS mag using the median zeropoint; red is brighter
Second spatial plots: circles are sky fibers. Colors give sky line brightness relative to plate median sky line brightness
FrameNreadsZeropointsMag plots Spatial mag deviation Spatial sky 16325A emission deviations (filled: sky, open: star) Spatial sky continuum emission Spatial sky telluric CO2 absorption deviations (filled: H < 10)
0 0
RedGreenBlue
z17.64
znorm Inf
sky -Inf -NaN -Inf
S/N 16.5 29.5 31.7
S/N(c) 0.0 0.0 0.0
SN(E/C) 0.36

IPAIRNAMESHIFTNEWSHIFTS/N NAMESHIFTNEWSHIFTS/N
0 11430056 0.483697 0.00000 18.6072 11430054 -0.000139597 0.483837 18.5756
1 11430052 0.482430 0.00126699 18.5170 11430050 0.00000 0.483697 18.4575
2 11430055 0.483412 0.000285000 18.4595 11430053 -0.000176320 0.483873 18.4039
3 11430051 0.482353 0.00134400 18.4397 11430057 7.56059e-05 0.483621 18.3803