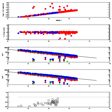
Frame | Nreads | Zeropoints | Mag plots
| Spatial mag deviation
| Spatial sky 16325A emission deviations (filled: sky, open: star)
| Spatial sky continuum emission
| Spatial sky telluric CO2 absorption deviations (filled: H < 10)
|
7920055
| 47
| | Red | Green | Blue
| z | | 18.94
| znorm | | 14.76
| sky | 14.7 | 14.5 | 14.4
| S/N | 14.2 | 24.0 | 24.3
| S/N(c) | 26.4 | 21.3 | 4.6
| SN(E/C) | 0.38
|
|
|
|
|
|
|
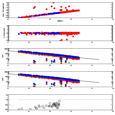
7920056
| 47
| | Red | Green | Blue
| z | | 18.94
| znorm | | 14.76
| sky | 14.7 | 14.6 | 14.8
| S/N | 14.1 | 24.0 | 24.6
| S/N(c) | 26.1 | 21.1 | 4.6
| SN(E/C) | 0.39
|
|
|
|
|
|
|
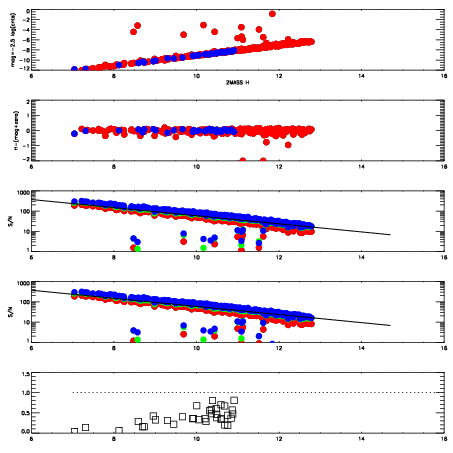
7920057
| 47
| | Red | Green | Blue
| z | | 19.03
| znorm | | 14.85
| sky | 14.8 | 14.4 | 14.7
| S/N | 15.0 | 25.1 | 25.7
| S/N(c) | 27.7 | 21.9 | 4.7
| SN(E/C) | 0.38
|
|
|
|
|
|
|
7920058
| 47
| | Red | Green | Blue
| z | | 18.90
| znorm | | 14.72
| sky | 14.9 | 14.7 | 14.7
| S/N | 13.9 | 23.4 | 24.2
| S/N(c) | 26.0 | 20.9 | 4.5
| SN(E/C) | 0.39
|
|
|
|
|
|
|
7920059
| 47
| | Red | Green | Blue
| z | | 19.05
| znorm | | 14.87
| sky | 14.8 | 14.7 | 14.6
| S/N | 15.0 | 25.4 | 26.5
| S/N(c) | 28.3 | 22.5 | 5.0
| SN(E/C) | 0.38
|
|
|
|
|
|
|
7920060
| 47
| | Red | Green | Blue
| z | | 19.07
| znorm | | 14.89
| sky | 14.9 | 14.8 | 14.8
| S/N | 15.2 | 25.4 | 26.5
| S/N(c) | 28.5 | 22.7 | 5.0
| SN(E/C) | 0.37
|
|
|
|
|
|
|
7920061
| 47
| | Red | Green | Blue
| z | | 19.09
| znorm | | 14.91
| sky | 14.9 | 14.8 | 14.7
| S/N | 15.6 | 25.5 | 26.8
| S/N(c) | 28.9 | 22.8 | 5.0
| SN(E/C) | 0.36
|
|
|
|
|
|
|
7920062
| 47
| | Red | Green | Blue
| z | | 19.01
| znorm | | 14.83
| sky | 14.8 | 14.7 | 14.7
| S/N | 14.5 | 24.6 | 25.7
| S/N(c) | 27.5 | 22.3 | 4.9
| SN(E/C) | 0.41
|
|
|
|
|
|
|