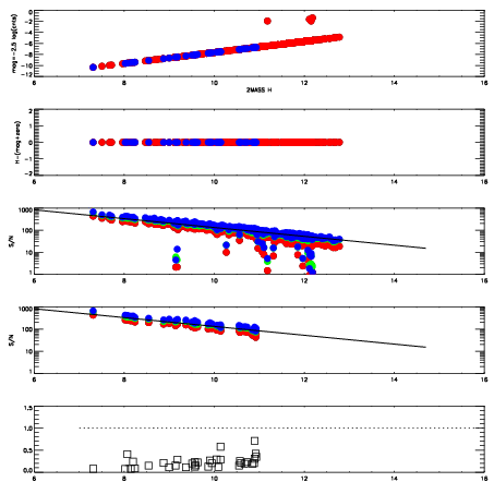
Left plots: red are targets, blue are telluric. Observed mags are calculated from median value of green chip. Zeropoint gives overall throughput: bigger number is more throughput.
First spatial plots: circles are objects, squares are tellurics, crosses are sky fibers. Colors give deviation of observed mag from expected 2MASS mag using the median zeropoint; red is brighter
Second spatial plots: circles are sky fibers. Colors give sky line brightness relative to plate median sky line brightness
FrameNreadsZeropointsMag plots Spatial mag deviation Spatial sky 16325A emission deviations (filled: sky, open: star) Spatial sky continuum emission Spatial sky telluric CO2 absorption deviations (filled: H < 10)
0 0
RedGreenBlue
z17.64
znorm Inf
sky -Inf -Inf -Inf
S/N 24.6 44.0 47.9
S/N(c) 0.0 0.0 0.0
SN(E/C) 0.21

IPAIRNAMESHIFTNEWSHIFTS/N NAMESHIFTNEWSHIFTS/N
0 07610079 0.491597 0.00000 18.7965 07610070 0.00000 0.491597 18.8305
1 07610076 0.483095 0.00850201 18.9068 07610078 0.00821176 0.483385 18.9407
2 07610071 0.483403 0.00819400 18.8641 07610077 0.00199588 0.489601 18.9387
3 07610075 0.482792 0.00880501 18.8346 07610074 0.00502943 0.486568 18.8777
4 07610072 0.484431 0.00716600 18.7548 07610073 0.00350198 0.488095 18.7955