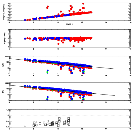
Frame | Nreads | Zeropoints | Mag plots
| Spatial mag deviation
| Spatial sky 16325A emission deviations (filled: sky, open: star)
| Spatial sky continuum emission
| Spatial sky telluric CO2 absorption deviations (filled: H < 10)
|
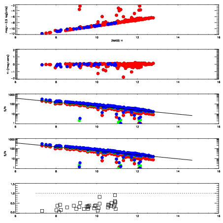
7890072
| 47
| | Red | Green | Blue
| z | | 19.00
| znorm | | 14.82
| sky | 14.9 | 14.3 | 14.2
| S/N | 13.9 | 22.6 | 23.4
| S/N(c) | 23.8 | 28.6 | 14.3
| SN(E/C) | 0.36
|
|
|
|
|
|
|
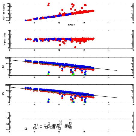
7890073
| 47
| | Red | Green | Blue
| z | | 19.02
| znorm | | 14.84
| sky | 14.7 | 14.4 | 14.5
| S/N | 14.0 | 22.7 | 24.0
| S/N(c) | 24.1 | 29.0 | 14.5
| SN(E/C) | 0.35
|
|
|
|
|
|
|
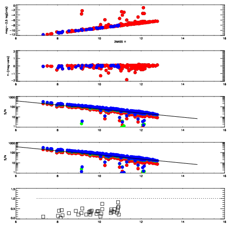
7890074
| 47
| | Red | Green | Blue
| z | | 19.06
| znorm | | 14.88
| sky | 14.6 | 14.5 | 14.5
| S/N | 13.7 | 22.9 | 24.1
| S/N(c) | 24.3 | 29.3 | 14.7
| SN(E/C) | 0.35
|
|
|
|
|
|
|
7890075
| 47
| | Red | Green | Blue
| z | | 19.05
| znorm | | 14.87
| sky | 14.6 | 14.4 | 14.6
| S/N | 13.7 | 22.9 | 24.3
| S/N(c) | 24.1 | 29.3 | 14.7
| SN(E/C) | 0.35
|
|
|
|
|
|
|
7890076
| 47
| | Red | Green | Blue
| z | | 19.08
| znorm | | 14.90
| sky | 14.7 | 14.5 | 14.5
| S/N | 14.1 | 23.3 | 24.4
| S/N(c) | 24.3 | 30.2 | 14.8
| SN(E/C) | 0.35
|
|
|
|
|
|
|
7890077
| 47
| | Red | Green | Blue
| z | | 19.10
| znorm | | 14.92
| sky | 14.8 | 14.5 | 14.4
| S/N | 14.0 | 23.4 | 24.6
| S/N(c) | 24.7 | 29.9 | 15.0
| SN(E/C) | 0.32
|
|
|
|
|
|
|
7890078
| 47
| | Red | Green | Blue
| z | | 19.09
| znorm | | 14.91
| sky | 14.7 | 14.6 | 14.5
| S/N | 14.2 | 23.5 | 24.8
| S/N(c) | 24.7 | 30.2 | 14.9
| SN(E/C) | 0.35
|
|
|
|
|
|
|
7890079
| 47
| | Red | Green | Blue
| z | | 19.09
| znorm | | 14.91
| sky | 14.7 | 14.5 | 14.4
| S/N | 13.9 | 23.3 | 24.8
| S/N(c) | 24.7 | 30.6 | 15.2
| SN(E/C) | 0.33
|
|
|
|
|
|
|