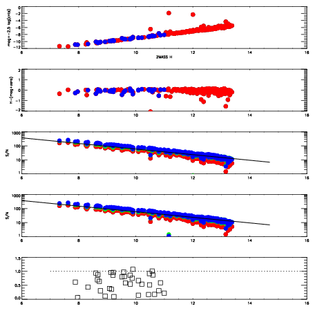
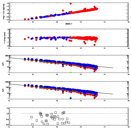
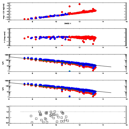
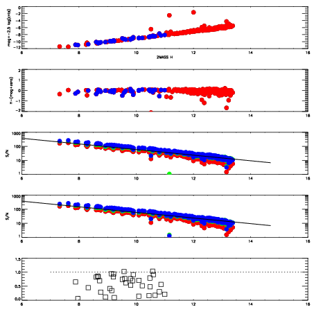
Frame | Nreads | Zeropoints | Mag plots
| Spatial mag deviation
| Spatial sky 16325A emission deviations (filled: sky, open: star)
| Spatial sky continuum emission
| Spatial sky telluric CO2 absorption deviations (filled: H < 10)
|
7910012
| 47
| | Red | Green | Blue
| z | | 19.00
| znorm | | 14.82
| sky | 15.0 | 14.8 | 14.5
| S/N | 15.1 | 22.7 | 23.6
| S/N(c) | 18.2 | 12.1 | 20.2
| SN(E/C) | 0.65
|
|
|
|
|
|
|
7910013
| 47
| | Red | Green | Blue
| z | | 19.03
| znorm | | 14.85
| sky | 15.0 | 14.9 | 15.1
| S/N | 15.7 | 23.1 | 24.5
| S/N(c) | 17.7 | 12.2 | 20.1
| SN(E/C) | 0.70
|
|
|
|
|
|
|
7910014
| 47
| | Red | Green | Blue
| z | | 19.04
| znorm | | 14.86
| sky | 15.1 | 15.1 | 15.3
| S/N | 15.7 | 22.8 | 24.7
| S/N(c) | 18.3 | 12.2 | 20.5
| SN(E/C) | 0.65
|
|
|
|
|
|
|
7910015
| 47
| | Red | Green | Blue
| z | | 19.01
| znorm | | 14.83
| sky | 15.1 | 15.2 | 15.0
| S/N | 15.3 | 22.6 | 24.2
| S/N(c) | 18.0 | 12.0 | 20.1
| SN(E/C) | 0.67
|
|
|
|
|
|
|
7910016
| 47
| | Red | Green | Blue
| z | | 19.06
| znorm | | 14.88
| sky | 15.3 | 15.2 | 15.0
| S/N | 15.5 | 23.4 | 25.0
| S/N(c) | 18.6 | 12.3 | 20.7
| SN(E/C) | 0.65
|
|
|
|
|
|
|
7910017
| 47
| | Red | Green | Blue
| z | | 19.02
| znorm | | 14.84
| sky | 15.1 | 15.1 | 15.1
| S/N | 15.0 | 23.0 | 24.8
| S/N(c) | 18.4 | 12.1 | 20.4
| SN(E/C) | 0.61
|
|
|
|
|
|
|
7910018
| 47
| | Red | Green | Blue
| z | | 19.02
| znorm | | 14.84
| sky | 15.7 | 15.3 | 15.4
| S/N | 14.9 | 23.1 | 24.8
| S/N(c) | 18.0 | 12.1 | 20.3
| SN(E/C) | 0.64
|
|
|
|
|
|
|
7910019
| 47
| | Red | Green | Blue
| z | | 19.03
| znorm | | 14.85
| sky | 15.2 | 15.1 | 15.4
| S/N | 15.5 | 23.5 | 25.1
| S/N(c) | 18.3 | 12.2 | 20.7
| SN(E/C) | 0.69
|
|
|
|
|
|
|