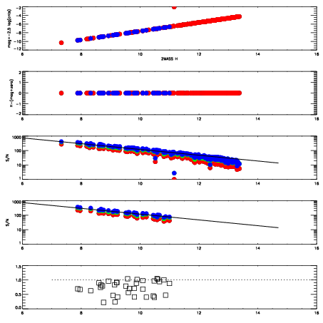
Left plots: red are targets, blue are telluric. Observed mags are calculated from median value of green chip. Zeropoint gives overall throughput: bigger number is more throughput.
First spatial plots: circles are objects, squares are tellurics, crosses are sky fibers. Colors give deviation of observed mag from expected 2MASS mag using the median zeropoint; red is brighter
Second spatial plots: circles are sky fibers. Colors give sky line brightness relative to plate median sky line brightness
FrameNreadsZeropointsMag plots Spatial mag deviation Spatial sky 16325A emission deviations (filled: sky, open: star) Spatial sky continuum emission Spatial sky telluric CO2 absorption deviations (filled: H < 10)
0 0
RedGreenBlue
z17.64
znorm Inf
sky -Inf -Inf -Inf
S/N 22.6 35.1 39.0
S/N(c) 0.0 0.0 0.0
SN(E/C) 0.78

IPAIRNAMESHIFTNEWSHIFTS/N NAMESHIFTNEWSHIFTS/N
0 08100032 0.522332 0.00000 16.5280 08100033 -0.000745922 0.523078 17.5118
1 08100028 0.520105 0.00222701 19.0795 08100029 -0.00199518 0.524327 18.9946
2 08100027 0.516471 0.00586098 19.0198 08100026 0.00000 0.522332 18.9290
3 08100031 0.514513 0.00781900 18.5506 08100030 -0.00247464 0.524807 18.8505