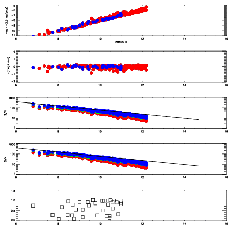
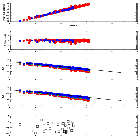
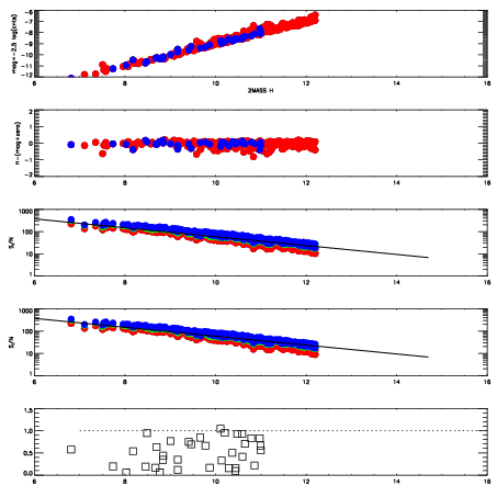
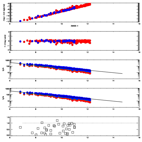
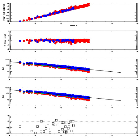
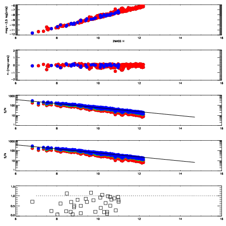
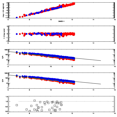
Frame | Nreads | Zeropoints | Mag plots
| Spatial mag deviation
| Spatial sky 16325A emission deviations (filled: sky, open: star)
| Spatial sky continuum emission
| Spatial sky telluric CO2 absorption deviations (filled: H < 10)
|
8780023
| 47
| | Red | Green | Blue
| z | | 18.07
| znorm | | 13.89
| sky | 13.7 | 13.7 | 13.7
| S/N | 7.8 | 14.5 | 14.2
| S/N(c) | 9.6 | 10.4 | 7.8
| SN(E/C) | 0.73
|
|
|
|
|
|
|
8780024
| 47
| | Red | Green | Blue
| z | | 18.13
| znorm | | 13.95
| sky | 13.7 | 13.8 | 13.9
| S/N | 8.0 | 14.8 | 15.1
| S/N(c) | 9.8 | 10.6 | 8.1
| SN(E/C) | 0.70
|
|
|
|
|
|
|
8780025
| 47
| | Red | Green | Blue
| z | | 18.64
| znorm | | 14.46
| sky | 14.1 | 14.1 | 14.2
| S/N | 12.0 | 20.2 | 21.3
| S/N(c) | 13.8 | 14.0 | 10.6
| SN(E/C) | 0.57
|
|
|
|
|
|
|
8780026
| 47
| | Red | Green | Blue
| z | | 18.85
| znorm | | 14.67
| sky | 14.3 | 14.3 | 14.2
| S/N | 13.7 | 23.0 | 23.5
| S/N(c) | 15.4 | 15.7 | 12.0
| SN(E/C) | 0.59
|
|
|
|
|
|
|
8780027
| 47
| | Red | Green | Blue
| z | | 19.02
| znorm | | 14.84
| sky | 14.5 | 14.5 | 14.5
| S/N | 15.3 | 25.4 | 26.9
| S/N(c) | 17.2 | 17.1 | 13.1
| SN(E/C) | 0.54
|
|
|
|
|
|
|
8780028
| 47
| | Red | Green | Blue
| z | | 18.63
| znorm | | 14.45
| sky | 14.1 | 14.1 | 14.2
| S/N | 11.7 | 20.0 | 20.8
| S/N(c) | 13.4 | 14.1 | 10.7
| SN(E/C) | 0.59
|
|
|
|
|
|
|
8780029
| 47
| | Red | Green | Blue
| z | | 18.51
| znorm | | 14.33
| sky | 14.0 | 14.1 | 14.1
| S/N | 10.6 | 18.0 | 19.0
| S/N(c) | 12.1 | 13.2 | 10.0
| SN(E/C) | 0.64
|
|
|
|
|
|
|
8780030
| 47
| | Red | Green | Blue
| z | | 18.71
| znorm | | 14.53
| sky | 14.0 | 14.1 | 14.3
| S/N | 12.2 | 20.6 | 21.1
| S/N(c) | 13.8 | 14.6 | 11.2
| SN(E/C) | 0.59
|
|
|
|
|
|
|