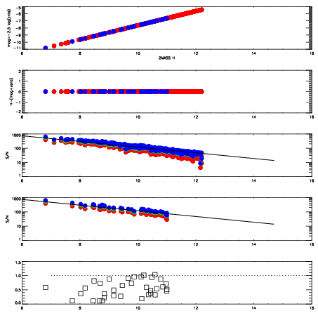
Left plots: red are targets, blue are telluric. Observed mags are calculated from median value of green chip. Zeropoint gives overall throughput: bigger number is more throughput.
First spatial plots: circles are objects, squares are tellurics, crosses are sky fibers. Colors give deviation of observed mag from expected 2MASS mag using the median zeropoint; red is brighter
Second spatial plots: circles are sky fibers. Colors give sky line brightness relative to plate median sky line brightness
FrameNreadsZeropointsMag plots Spatial mag deviation Spatial sky 16325A emission deviations (filled: sky, open: star) Spatial sky continuum emission Spatial sky telluric CO2 absorption deviations (filled: H < 10)
0 0
RedGreenBlue
z17.64
znorm Inf
sky -Inf -NaN -NaN
S/N 23.2 40.0 42.2
S/N(c) 0.0 0.0 0.0
SN(E/C) 0.53

IPAIRNAMESHIFTNEWSHIFTS/N NAMESHIFTNEWSHIFTS/N
0 11490013 0.473668 0.00000 18.7618 11490018 0.000872086 0.472796 18.7543
1 11490012 0.473606 6.20186e-05 18.8478 11490015 -0.00341340 0.477081 18.8141
2 11490017 0.472342 0.00132599 18.8399 11490011 0.00000 0.473668 18.7613
3 11490016 0.472054 0.00161400 18.6512 11490014 -0.00334470 0.477013 18.7542