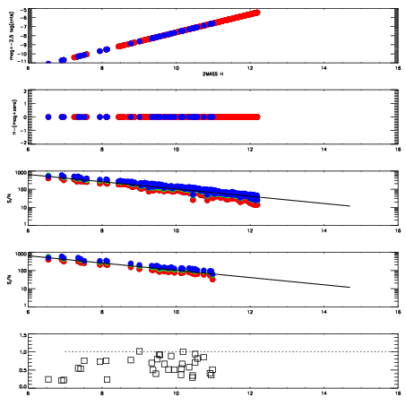
Left plots: red are targets, blue are telluric. Observed mags are calculated from median value of green chip. Zeropoint gives overall throughput: bigger number is more throughput.
First spatial plots: circles are objects, squares are tellurics, crosses are sky fibers. Colors give deviation of observed mag from expected 2MASS mag using the median zeropoint; red is brighter
Second spatial plots: circles are sky fibers. Colors give sky line brightness relative to plate median sky line brightness
FrameNreadsZeropointsMag plots Spatial mag deviation Spatial sky 16325A emission deviations (filled: sky, open: star) Spatial sky continuum emission Spatial sky telluric CO2 absorption deviations (filled: H < 10)
0 0
RedGreenBlue
z17.64
znorm Inf
sky -Inf -Inf -NaN
S/N 23.4 40.6 43.0
S/N(c) 0.0 0.0 0.0
SN(E/C) 0.57

IPAIRNAMESHIFTNEWSHIFTS/N NAMESHIFTNEWSHIFTS/N
0 11480013 0.481515 0.00000 19.0215 11480015 -0.000290798 0.481806 19.0746
1 11480016 0.479931 0.00158399 19.1213 11480014 -0.000227574 0.481743 19.0913
2 11480012 0.479950 0.00156498 19.0198 11480011 0.00000 0.481515 19.0094