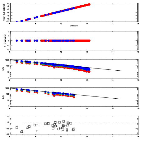
Left plots: red are targets, blue are telluric. Observed mags are calculated from median value of green chip. Zeropoint gives overall throughput: bigger number is more throughput.
First spatial plots: circles are objects, squares are tellurics, crosses are sky fibers. Colors give deviation of observed mag from expected 2MASS mag using the median zeropoint; red is brighter
Second spatial plots: circles are sky fibers. Colors give sky line brightness relative to plate median sky line brightness
FrameNreadsZeropointsMag plots Spatial mag deviation Spatial sky 16325A emission deviations (filled: sky, open: star) Spatial sky continuum emission Spatial sky telluric CO2 absorption deviations (filled: H < 10)
0 0
RedGreenBlue
z17.64
znorm Inf
sky -Inf -Inf -NaN
S/N 17.2 30.0 32.8
S/N(c) 0.0 0.0 0.0
SN(E/C) 0.65

IPAIRNAMESHIFTNEWSHIFTS/N NAMESHIFTNEWSHIFTS/N
0 11760049 0.494813 0.00000 18.3298 11760047 -0.00105608 0.495869 18.6131
1 11760048 0.494311 0.000501990 18.3041 11760046 -0.00132202 0.496135 18.5144
2 11760052 0.494538 0.000274986 18.3024 11760051 -0.00179265 0.496606 18.2493
3 11760045 0.494737 7.59959e-05 18.1167 11760050 -0.00202278 0.496836 18.1963
4 11760044 0.494178 0.000634998 17.9572 11760043 0.00000 0.494813 18.1758